מבוא/רקע: מקורות במזון

צמחים מכילים תרכובות ביולוגיות פעילות הנקראות פיטוכימיקלים או פיטונוטריינטים. תרכובות אלו מציעות מגוון רחב של יתרונות בריאותיים, ואף משמשות ברפואה, בתעשיית המזון והקוסמטיקה, בעיקר בזכות יכולתן להפחית עקה חמצונית.

אחת מקבוצות הפיטוכימיקלים המרכזיות היא הקרוטנואידים. קיימים למעלה מ-600 סוגים של קרוטנואידים, המסונתזים בעיקר על ידי צמחים, פטריות וחיידקים. הם נמצאים בכל הפירות והירקות שיש להם גוונים עזים של צהוב, כתום, אדום וירוק. לדוגמה, נוכל למצוא אותם בגזר, בטטה, דלעת, עגבניות, במנגו, אפרסקים, משמשים, שסק, מלון, פפאיה, אבוקדו, פירות הדר ופירות יער שונים וגם בירקות עליים ירוקים כמו תרד, קייל וחסה

הקשר למחלות לב וכלי דם

*** תוספת יוני 23 – טרשת עורקים
רמה גבוהה של קרוטנים בדם קשורה לרמה נמוכה יותר של טרשת עורקים ובכך לסיכון נמוך יותר למחלות לב וכלי דם. אלו המסקנות של מחקר של צוות חוקרים מ-IDIBAPS ו-UOC, שפורסם במאי 23 בג'ורנל Clinical Nutrition.
טרשת עורקים היא הצטברות של שומן, בדרך כלל מסוג LDL, בדפנות הפנימיות של כלי הדם עקב רדיקלים חופשיים ותהליכי דלקת. הצטברות זו, בצורת רובדים טרשתיים, גורמת להצרת הקוטר הפנימי של כלי הדם, ובכך מעכבת את זרימת הדם.
עם הזמן הפלאקים הללו עלולים להיקרע וליצור קרישים החוסמים את זרימת הדם, מה שעלול להוביל לאוטם שריר הלב (התקפי לב), כאשר הדם אינו מגיע ללב, או שבץ איסכמי, כאשר אינו מגיע למוח.
המאמר בחן 200 אנשים בגילאי 50-70 המהווים חלק מקבוצת DIABIMCAP. המתנדבים שהשתתפו במחקר נותחו בהתייחס לשני פרמטרים: ריכוז הקרוטנים בדם ובאמצעות הדמיית אולטרסאונד נוכחות של רובדים טרשתיים בעורק הצוואר.
המחקר הסיק שככל שריכוז הקרוטנים בדם גדול יותר, העומס הטרשתי קטן יותר, במיוחד אצל נשים. לכן, אנו יכולים לאשר שתזונה עשירה בפירות וירקות ולפיכך בקרוטנים מורידה את הסיכון לסבול ממחלות לב וכלי דם.

https://www.uoc.edu/portal/en/news/actualitat/2023/157-carotenes-atherosclerosis.html

*** תוספת נובמבר 24 – מחלות לב וכלי דם
מחקר שפורסם בנובמבר 24 בכתב העת Nutrient בוחן את הקשר בין קרוטנואידם למחלות לב וכלי דם (אנגינה, אוטם שריר הלב ואי ספיקת לב, שבץ מוחי איסכמי, מחלת עורקים היקפית וטרשת עורקים).
החוקרים מציגים את הגורמים הניתנים לשינויי שמשפעים על מחלות אלה הקשורים לאורח החיים: תזונה, יושבנות, מצבי סטרס, חשיפה למזהמים סביבתיים. יחד ולחוד הם יכולים לגרום לשינויים מטבוליים שמייצרים חוסר איזון בכולסטרול, טריגליצרידיםוסוכר, ייצור הומוציסטאין ועידוד של ייצור מעודדי דלקת כרוניית. דבר המוביל במקרים ללחץ דם גבוה, השמנת יתר וסוכרת ומשם גם מתפתח למחלות לב וכלי דם.
המחקר התמקד באספקט התזונתי של קרוטנואידים על תופעות אלה. הם מציגים מחקרים רבים שהראו שרמות גבוהות שלהם בדם מורידות את הסיכון למחלות אלה כאשר ההקשרים ברורים עוד יותר כאשר מגוון הקרוטנואידים קיים. כלומר כאינדיבואלים הם גם נמצאו משפיעים אבל התוצאות לא מוחלטות בחלק מהמחקרים. כמו כן החוקרים מסבירים שההשפעות שנמצאו במחקרים היו בעיקר באלה ארוכי הטווח. כלומר קשה מאוד להסיק מסקנות כאשר המחקר הוא למספר חודשים בקשר למחלות שנבנול לאורך הרבה מאוד שנים. הם מזכירים 2 מחקרים בודדים על תוספי לוטאין וליקופן שנמשכו לתקופה של 10 שנים ואכן הראו אפקט ברור על בריאות כלי הדם והלב ושמירה על עובי הדופן של העורק הצווארי (CIMT). החוקרים מוסיפים ממצאים מעודדים נוספים בכך שהיו לא מעט מחקרים קצרי טווח שהציגו השפעות בולטות יותר אצל אנשים עם מחלות לב וכלי דם לעומת אנשים בריאים.
החוקרים סיכמו שרמות גבוהות של קרוטנואידים בדם קשורות להפחתת גורמי סיכון ל-CVD וסמנים דלקתיים, העלולים להפחית את הסבירות לאירועים קרדיו-וסקולריים. ניכר כי צריכת מגוון רחב של קרוטנואידים, בעיקר דרך מזון, עשויה לעכב את הופעתן והתקדמותן של מחלות אלה.

*** תוספת מרץ 26 – בריאות העורקים (CIMT)
מטה-אנליזה רחבת היקף שפורסמה במרץ 26 בכתב העת Nutrients  ביקשה לעשות סדר ודיוק בנתונים שנאספו בעשורים האחרונים. המחקר, שכלל ניתוח של למעלה מ-9,200 משתתפים ממאגרי מידע מובילים (כמו NHANES), בחן את הקשר הספציפי בין סוגי קרוטנואידים שונים לבין עובי דופן העורק הצווארי (CIMT) – מדד המהווה סמן ישיר לטרשת עורקים ולסיכון לשבץ מוחי. החוקרים השתמשו במודלים סטטיסטיים מתקדמים כדי "לפרק" את השפעת התזונה המעורבת ולבודד את התרומה של כל נוגד חמצון בנפרד.
הממצא המרכזי והדרמטי ביותר הצביע על כך שליקופן (הפיגמנט האדום המצוי בעגבניות ואבטיח) הוא השחקן הדומיננטי והמשמעותי ביותר בהגנה על העורקים, כאשר רמות גבוהות שלו בדם נמצאו קשורות לירידה של כ-30% בסיכון לעיבוי דופן העורק (OR=0.70). לעומת זאת, באופן מפתיע, קרוטנואידים אחרים כמו בטא-קרוטן (הפיגמנט הכתום) לא הראו השפעה מובהקת על מדד ה-CIMT במודלים המנוטרלים. החוקרים הסבירו זאת בזכות היציבות המולקולרית הגבוהה של הליקופן בתוך חלקיקי ה-LDL (הכולסטרול ה"רע"), המאפשרת לו למנוע את חמצונם בתוך דופן העורק ביעילות גבוהה פי כמה מאחרים. בנוסף, המחקר חשף כי ההשפעה המגנה של הליקופן בולטת ומשמעותית במיוחד בקרב גברים ובקרב אנשים הסובלים מלחץ דם סיסטולי גבוה, מה שמרמז על כך שהליקופן משמש כ"קו הגנה ראשון" נגד הנזק המכני והחמצוני שנגרם לעורקים כתוצאה מלחץ הדם.

הנתונים הללו מהווים את "אישור הזהב" הקליני לממצאים שהצטברו בשנים הקודמות. בעוד המחקרים מ-2023 ו-2024 הצביעו על מגמה כללית וחיובית של צריכת ירקות ופירות, המטה-אנליזה הנוכחית מזקקת את התובנה ומחדדת כי לצורך מניעה ספציפית של טרשת עורקים ושיפור גמישות כלי הדם, לא די ב"תזונה צבעונית" כללית. הדיוק המחקרי מעלה את הליקופן לדרגת רכיב מפתח קריטי, ומאשר כי היכולת שלו להיטמע בתוך חלקיקי השומן בדם היא זו שמעניקה לו את היתרון הקליני המכריע על פני קרוטנואידים אחרים, ובכך מספקת הסבר ביוכימי מוצק לתוצאות שנצפו במחקרים ארוכי הטווח.

מאמר סקירה נוסף
https://www.mdpi.com/2076-3921/11/4/795

הקשר למחלות מטבוליות

*** תוספת ינואר 24 – כבד שומני
מחקר שפורסם בינואר 24 בכתב העת Scientific Reports בדק האם סך ויטמין A בתזונה; ממקור דגים, כבד, מוצרי חלב וביצים (preformed vitamin A); ממקור קרוטנואידים (provitamin A) השפיע על הסיכון לפתח מחלת כבד שומני לא-אלכוהולי (NAFLD) בקרב מבוגרים.
המחקר התבסס על סקר בחינת הבריאות והתזונה הלאומית (NHANES), שסיפק מידע דמוגרפי, תזונתי, בריאותי וסוציו-אקונומי.
מתוך 40,617 משתתפי NHANES, נבחרו 6,613 למחקר זה על סמך קריטריוני המחקר.
המשתתפים במחקר זה היו בממוצע בני 51. בקבוצת המחקר, 36.7% מהמשתתפים אובחנו עם NAFLD.
רוב המשתתפים עם NAFLD היו מעשנים, סוכרתיים, עם השמנת יתר וחומצה אורית גבוהה (UA).
רמות ויטמין A בתזונה חולקו לרבעונים, והרבעון הראשון (Q1) נקבע כקטגוריית ייחוס.
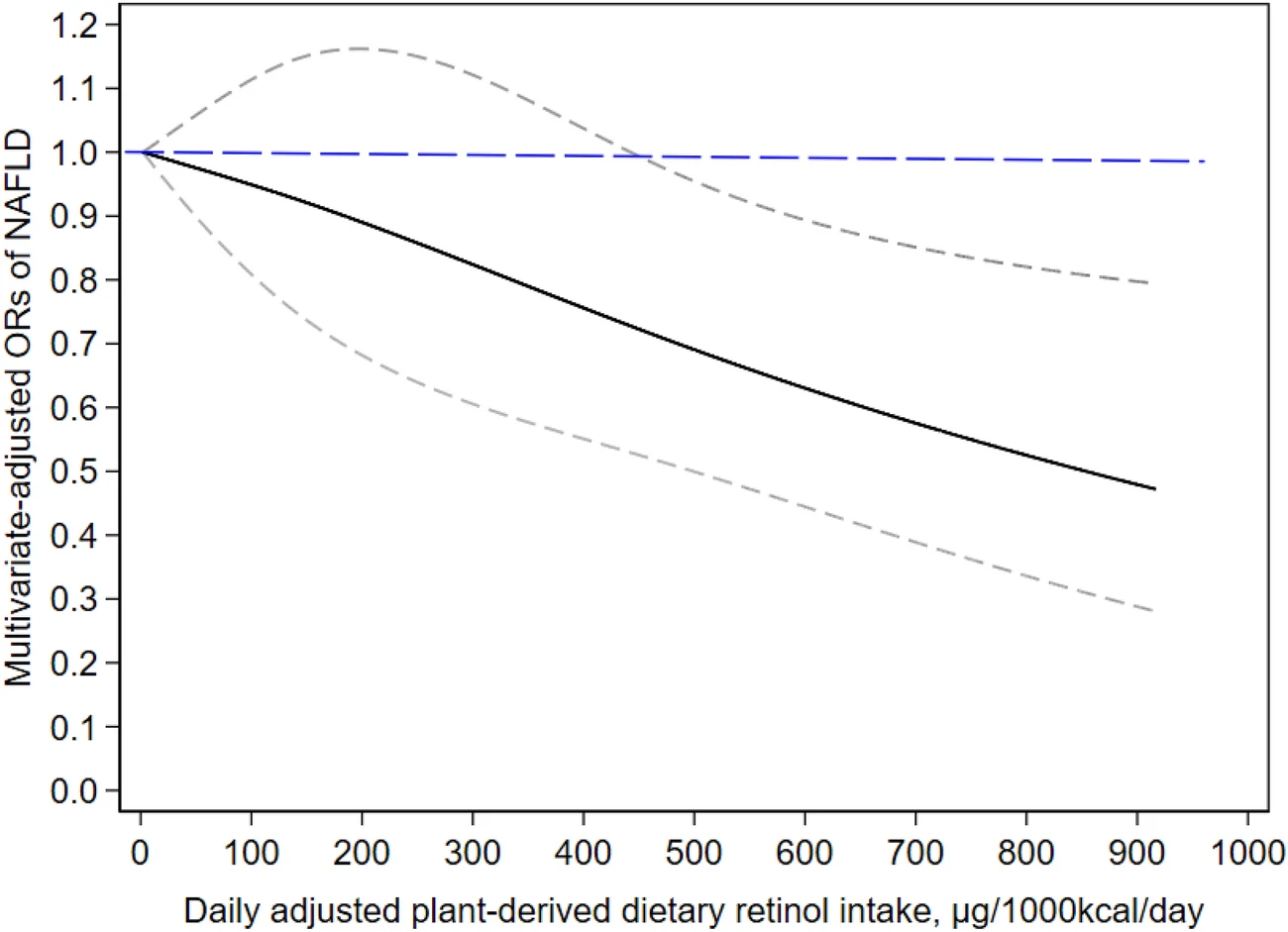
במודל הראשוני (לפני התאמת גורמים מבלבלים) נמצא שסך ויטמין A, ממקור דגים, כבד.. ומקרוטנואידים הורידו סיכון לכבד שומני ב: 21%-, 8%-, 36%- (בין רביע 4 ל-1 בהתאמה). לאחר התאמת גורמים מבלבלים, הקשר נשאר מובהק משמעותית עבור קרוטנואידים (22%-), אסוציאציה זו שררה ללא הבדל גיל ומין. עם זאת, ההשפעה המגנה של צריכת ויטמין A הכוללת בתזונה על NAFLD לא הייתה משמעותית.
יתר על כן, נצפה גם קשר שלילי של מינון ותגובה ליניארי בין צריכת קרוטנואידים לבין הסיכון לפתח NAFLD.

A linear negative dose–response correlation was observed between provitamin A carotenoids intake and NAFLD risk. When provitamin A carotenoids intake reached 449 μg/1000 kcal/day, it was inversely associated with NAFLD (OR: 0.72)

המחברים ציינו שמחקרים קודמים הדגישו את יכולתם של הקרוטנואידים לווסת רמות דלקת סטאטוזיס של הכבד והתקדמות פיברוזיס ב-NASH. מבחינה מכאנית, קרוטנואידים מונעים הפעלה של תאי מקרופאג ותאי קופפר ומורידים את העמידות לאינסולין, מה שמוביל להחלמה מסטאטהפטיטיס.
כמו כן מחקרים הראו שיש להם את היכולת לשנות את ביטוי ההורמון המטבולי (סוכרים ושומנים) שנקרא אדיפונקטין (Adiponectin) שמקדם את ויסות הירידה של גורם שעתוק (NFκB) וגורם נמק גידול אלפא (TNF-α), אשר קשורים להגברת הסיכון ל-NAFLD.

מחקרים נוספים שמראים קשר לכבד שומני
https://pubmed.ncbi.nlm.nih.gov/31108934/
https:/pubmed.ncbi.nlm.nih.gov/26256414/

*** תוספת יוני 25 – אבנים בכיס מרה
הקרוטנואידים ממשיכים להפתיע במגוון השפעותיהם הבריאותיות, וכחלק מהקשר למחלות מטבוליות, נחקר לאחרונה גם תפקידם הפוטנציאלי במניעת היווצרות אבנים בכיס המרה. אבני מרה, במיוחד אלו מסוג כולסטרול (הנפוצות ביותר), קשורות לתהליכים דלקתיים ולעקה חמצונית בכיס המרה, כמו גם לגורמי סיכון מטבוליים כגון השמנה ותסמונת מטבולית.

מחקר חתך רחב היקף, שפורסם ביוני 25 בכתב העת Frontiers in Nutrition (אבסטרקט), בחן את הקשר הזה באמצעות נתונים מסקר הבריאות והתזונה הלאומי של ארה"ב (NHANES), שסיפק מידע מקיף על רמות קרוטנואידים ונתוני בריאות בקרב אלפי מבוגרים.
על פי ממצאיו, למשתתפים ברביעון הגבוה ביותר של רמות קרוטנואידים כלליות בסרום היה סיכון נמוך בכ-48% לפתח אבני מרה בהשוואה לאלה שברביעון הנמוך ביותר. מגמות הגנה דומות נצפו גם עבור קרוטנואידים בודדים שנבדקו, כולל אלפא-קרוטן, בטא-קרוטן, אלפא-קריפטוקסנטין, בטא-קריפטוקסנטין, לוטאין/זאקסנטין וליקופן, אשר נקשרו כולם לסיכון מופחת לאבני מרה (בטווח של 30%-54% סיכון נמוך יותר בהתאמה).

ממצאים אלו מתחברים לראיות קיימות המצביעות על תפקידם המגונן של נוגדי חמצון בכלל בתהליכים דלקתיים וחמצוניים. לדוגמה מחקר מינואר 25 עם הכותרת: "Higher levels of oxidative balance score linked to lower risk of gallstones" ומחקר נוסף מאותו תאריך עם הכותרת: "Dietary phytochemical index and the risk of gallstone disease: a case-control study". וממצאים אלה גם מתחברים גם ממצאי מחקרים נוספים על ויטמין סי ופירות אותם תוכלו למצוא במאמר המרכז על אבני בכיס מרה.

לסיכום, המחקר החדש על קרוטנואידים ואבני מרה מספק ראיות תצפיתיות משמעותיות התומכות בכך שצריכה מספקת של קרוטנואידים, בעיקר ממקורות תזונתיים שלמים כמו פירות וירקות, עשויה להפחית את הסיכון להתפתחות אבני מרה. עם זאת, נדרשים מחקרי אורך ומחקרי התערבות נוספים כדי לאמת קשרים סיבתיים ולחקור לעומק את מנגנוני ההגנה."

*** תוספת ספטמבר 25 – השמנת ילדים
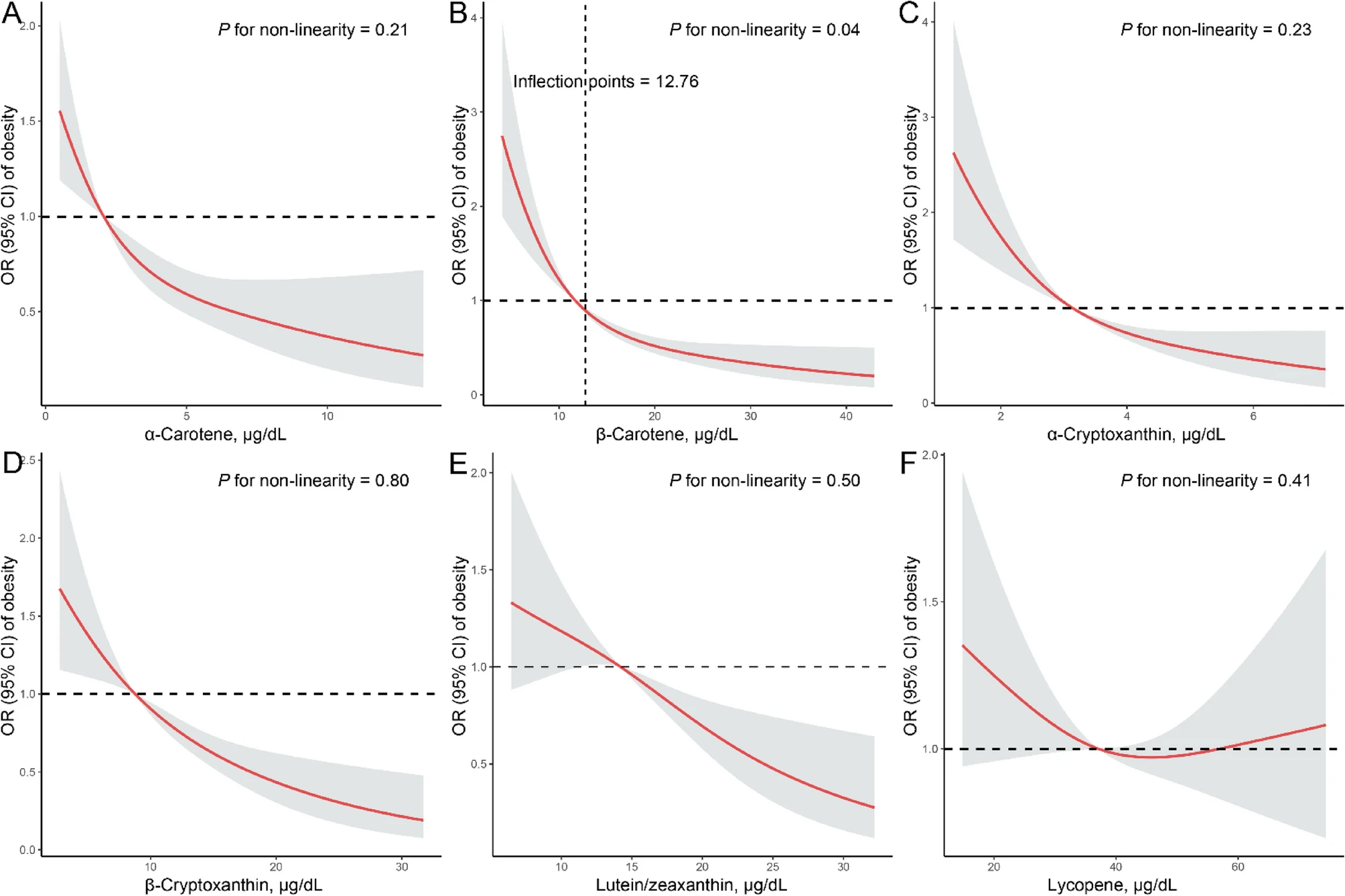
הקשר המיטיב של קרוטנואידים למחלות מטבוליות אינו מוגבל למבוגרים בלבד, וכעת מתרחבות העדויות גם לאוכלוסיית הילדים. השמנת יתר בילדות נותרה אתגר בריאותי גלובלי משמעותי, והמדע ממשיך לבחון את תפקידה של תזונה עשירה בנוגדי חמצון כגורם מגן. מחקר עוקבה פרוספקטיבי שפורסם בספטמבר 25 בכתב העת Journal of Clinical Endocrinology & Metabolism בחן את הקשר שבין רמות קרוטנואידים בפלזמה לבין סיכון לפתח השמנת יתר בקרב ילדים בגילאי בית הספר. הסיבה למחקר נבעה מהצורך לבסס קשר אובייקטיבי בין מדדי תזונה מדויקים לבין סיכון מטבולי בגיל צעיר, לאור העובדה שתזונה מערבית אופיינית מתאפיינת בצריכה נמוכה של פירות וירקות.

המחקר עקב אחר 845 ילדים בריאים יחסית, בגיל ממוצע של 6, למשך תקופה של 4 שנים. המדדים העיקריים שנבחנו היו ריכוזים בדם של קרוטנואידים ספציפיים (אלפא וביטא קרוטן, לוטאין/זיאקסנטין, אלפא וביטא קריפטוקסנטין ) שנמדדו בתחילת המחקר, והשינויים במדד מסת הגוף (BMI) ובאחוז שומן הגוף הכללי והקרביים (Visceral Fat) שנמדדו שוב בסיום המעקב.

ממצאי המחקר הראו כי ילדים שהיו ברביעון הגבוה ביותר של רמות קרוטנואידים בפלזמה בתחילת המחקר, היו בסיכון נמוך באופן מובהק לפתח השמנת יתר או עלייה משמעותית בשומן הקרביים במהלך תקופת המעקב. ספציפית, נמצא קשר הפוך ומובהק בין רמות גבוהות של בטא-קרוטן לבין הסיכון להשמנה. מבחינה סטטיסטית, ילדים אלו הראו סיכוי נמוך ב־38% לפתח BMI גבוה בהשוואה לילדים ברביעון הנמוך ביותר. החוקרים הדגישו כי קשר זה נותר מובהק גם לאחר התאמה לגורמים מבלבלים כגון גיל, מין, רמת פעילות גופנית וצריכת קלוריות כללית, מה שמחזק את ההשפעה המגנה הישירה של הקרוטנואידים.
מעבר לבטא-קרוטן, גם הליקופן הציג קשר מגן מובהק ומשמעותי נגד השמנת יתר ו-BMI גבוה. ניתוח הקשר בין ריכוזי הליקופן בדם לבין הסיכון המטבולי חשף כי האפקט המיטבי של הליקופן, המפחית באופן ניכר את הסיכון, מתחיל להתמתן מעט בריכוזים גבוהים במיוחד, מעבר לרמה של כ־40 μg/dL. ממצא זה מדגיש את חשיבות הצריכה העקבית והמגוונת של קרוטנואידים ממקורות צמחיים שונים.

המחקר מצביע על כך ששההשפעה המגנה נובעת ככל הנראה מתכונותיהם האנטי-דלקתיות ונוגדות החמצון של הקרוטנואידים. החוקרים מדגישים במיוחד את יכולתם של תרכובות אלו למנוע חמצון שומנים (Lipid Peroxidation), ובכך להגן על קרומי התא מפני נזק המעודד דלקת ופוגע בתפקוד. תהליך זה של הפחתת העקה החמצונית והדלקת הכרונית בדרגה נמוכה, מוביל בתורו לשיפור הרגישות לאינסולין, שהיא המפתח לויסות משקל ולמניעת צבירת שומן. בנוסף, רמות הקרוטנואידים שימשו למעשה כמדד אובייקטיבי לאיכות התזונה הכללית של הילדים.

ההשלכות והפרקטיקה האפשרית של ממצאים אלו הן ברורות: קידום תזונה עשירה בירקות ופירות, ובמיוחד אלה העשירים בקרוטנואידים (כגון גזר, בטטה, דלעת וירקות עליים ירוקים), מהווה אסטרטגיה חיונית במניעה ראשונית של השמנת יתר ושיפור בריאות מטבולית כבר בגיל הילדות. הורים ומטפלים מוזמנים להתמקד בצריכה עקבית של מזונות צמחיים צבעוניים כדי להבטיח רמות הגנה אופטימליות של נוגדי חמצון בדם ילדיהם.

הקשר לראייה ובריאות המוח

הקשר למחלות מהן מתים בטרם עת

במחקר (סקירה) שפורסם במאי 23 בכתב העת Antioxidants, חוקרים סקרו מחקרים קיימים על היתרונות של קרוטנואידים למימוש הפוטנציאל הבריאותי שלהם כחומרי תזונה ומזונות בריאות פונקציונליים.
החוקרים מציגים את היתרונות הקרדיווסקולריים והאנטי-סרטניים שלהם. תרכובות צבעוניות אלה נמצאות על פי רוב באורגניזמים העושים פוטוסינתזה כגון צמחים, ציאנובקטריות ואצות מסוימות ויחד עם הכלורופיל של הצמח הם קשורים לספיגת אורכי גל ספציפיים של אור. יתר על כן, קרוטנואידים מגנים על תאי הצמח מפני נזקי אור ורדיקלים אחרים כמו מיני חמצן (ROS) שבכמויות גבוהות יכלו לגרום לשלל בעיות הקשורות לתפקודי התאים והמוות שלהם.

החוקרים מציגים חלק מסוגי הקרוטנואידים המוכרים והנחקרים ביותר. כאשר הקרוטן המוכר ביותר למרבית האנשים הוא β-קרוטן הנפוץ בפירות וירקות כתומים כמו: מנגו, משמש, בטטה וגזר.
קרוטנואיד ידוע נוסף הוא הליקופן המצוי בדרך כלל בירקות ובפירות אדומים, כגון עגבניות ואבטיחים, גויאבה ורודה ופפאיה, וכן בירקות ירוקים, כמו, אספרגוס ופטרוזיליה.
סוג נוסף של קרוטנואידים הוא קסנתופילים, כאשר השכיח ביותר הוא הלוטאין ויש גם את ה'זאקסנטין'. ירקות כמו קייל, תרד, פורסלנה, גרגיר נחלים, פטרוזיליה, נבטי בריסל, חסה וברוקולי, הם מקור משמעותי ללוטאין, בעוד פלפל אדום וכתום הם מקור טוב לזאקסנטין.

ניתן להשיג קרוטנואידים כמובן גם ממקורות צמחיים אחרים כמו גם בדגנים מתוכם בעיקר בתירס. יש אותם גם במוצרים מהחי (בעיקר כאלה שומניים יותר כגון חמאה, חלמון ושומן בקר).
החוקרים מזכירים גם את העובדה שקרוטנואידים מסיסים בשומנים, לכן הזמינות הביולוגית שלהם תלויה גם בתכולת השומנים בתזונה. ספיגתם מושפעת גם בנוכחותם של פיטוכימיקלים אחרים כגון חומצות שומן, פיטוסטרולים, טוקופרולים (ויטמין אי) ופוליפנולים.

החוקרים מציינים עוד שמבין כל 600 הקרוטנואידים שמקורם מהצומח, לליקופן יש את הפעילות הרדיקלית החופשית הגבוהה ביותר ואולי במיוחד בכל הקשור בהגנה על ה-DNA מפני עקה חמצונית ומניעת מוטציות שעלולות לגרום למחלות כרוניות.
כמו כן ליקופן שימש כתוסף תזונה בטיפול במחלות לב וכלי דם שונות ונראה כמפחית את חמצון הכולסטרול, משפר תכונות נוגדות חמצון ומפחית עקה חמצוני. ליקופן הראה גם תכונות הגנה במהלך השתלות עורקים על ידי אפנון הייצור של חלבונים המעורבים בטרשת עורקים.
החוקרים הציגו מחקרים שונים במיגוון של מודלים של בעלי חיים, שדיווחו כי לקרוטנואידים יש תכונות אנטי-דלקתיות והשפעות מועילות על פרופיל שומני וסוכרי בדם (מחלות מטבוליות, סוכרת[1][2], טרשת וכדומה).
קרוטנואידים, כגון β-קרוטן, נקשרו עם סיכון נמוך יותר לסוכרת מסוג 2, ואילו ליקופן נראה כמפחית את רמות הגלוקוז בדם בצום. כמו כן צריכת קרוטנואידים קשורה לסיכון מופחת לסרטן שד, לסרטן הערמונית ולסרטן הלבלב.
הליקופן נקשר גם לסיכון נמוך יותר בסוגי סרטן נוספים כגון סרטן ריאות, שחלות וקיבה.

אחד הדברים הזכורים לי ביותר מהילדות דווקא, שכל הזמן דיברו על הגזר כחשוב לבריאות העיניים ואכן במחקר סקירה זה מציגים גם את התכונות המגנות של הקרוטנואידים מפני קרינה אולטרה סגולה ובעיות אחרות הקשורות לעיניים כגון ניוון מקולרי של העין.

הקשר להזדקנות ביולוגית

*** תוספת ינואר 25
מחקר שפורסם בינואר 25 בכתב העת Nutrition Journal בחן את הקשר בין רמות צריכת קרוטנואידים בתזונה והזדקנות ביולוגית באמצעות נתונים מסקר NHANES של 27,338 מבוגרים בארה"ב.
מדדי הזדקנות ביולוגיים כללו עומס אלוסטטי (AL) וחוסר ויסות הומאוסטטי (HD).
מודלים של גיל ביולוגי כללו: Klemera and Doubal's method, phenoAge.
טכניקות סטטיסיות מתמטיות שימשו כדי לחקור את הקשרים של קרוטנואידים בודדים וקרוטנואידים מעורבים עם הזדקנות ביולוגית.
שני המודלים המעורבים הצביעו באופן עקבי שלתערובות קרוטנואידים יש מתאם שלילי משמעותי עם ההשפעה המשולבת על ההזדקנות הביולוגית, ומדגישים שרמות גבוהות של צריכת לוטאין/זאקסנטין ו-β-קרוטן עשויות למלא תפקיד מכריע בהפחתת מדדי ההזדקנות הביולוגיים.

הם הציגו כמה מהמחקרים הקודמים שלהם שמצאו שאנשים שהתזונה שלהם עשירה בנוגדי חמצון ודלקת לא רק מראים סיכון מופחת למוות מכל סיבה, מחלות לב וכלי דם ומוות מסרטן, אלא גם פחות רגישים להזדקנות. הם הציגו מחקר שראה שככל שריכוז הקרוטנואידים בדם גבוה יותר, הטלומרים היו ארוכים יותר. הם הציגו מחקר חתך של קבוצה אחרת שהראה שצריכת קרוטן כוללת קשורה לעלייה ברמות האנזים Klotho. "יחד הראיות מחזקות את הקשר בין רמות צריכת קרוטנואידים בתזונה והזדקנות האדם ותומכות באמינות ובחוזק של הממצאים שלנו", כתבו החוקרים.

החוקרים מוסיפים שבמודל הקרוטנואיד הבודד, המחקר מצא שכל סוגי הקרוטנואידים (אלפא וביטא קרוטן, בטא-קריפטוקסנטין, ליקופן, לוטאין וזיאקסנטין) כולם היו קשורים בקשר הפוך עם מדדי הזדקנות ביולוגיים נמוכים יותר, כלומר ככל שרמתם נמוכה מדדי ההזדקנות היו גבוהים יותר. כאשר לוטאין, זאקסנטין ו-β-קרוטן נמצאו התורמים העיקריים.
החוקרים עוד ציינו שלוטאין וזאקסנטין נחשבים בדרך כלל כקשורים לתפקודים חזותיים וקוגניטיביים, שכן הם יכולים להיקלט ברשתית בריכוזים גבוהים וכתוצאה מכך ליצור פיגמנט מקולרי שמגן על הזדקנות העיניים כמו גם נקלטים ומצטברים במוח ומגנים על תפקודו.

החוקרים גם מדגישים שעל פי NHANES, הצריכה הממוצעת של לוטאין/זאקסנטין ירדה מ-2.15 מ"ג ליום עבור גברים ו-2.21 מ"ג ליום עבור נשים בשנת 1987 ל-1.58 מ"ג ליום עבור גברים ו-1.76 מ"ג ליום עבור נשים נכון לשנת 2013.

המנגנונים שבהם קרוטנואידים תזונתיים משפיעים על ההזדקנות הביולוגית לא נחקרו אבל כן ידוע שקרוטנואידים ממלאים מספר רב של פונקציות ביולוגיות חיוניות:

  • פעילות נוגדת החמצון היא בעלת משמעות מיוחדת לבריאות האדם – הם מסייעים בהגנה על הגוף מפני נזקי חמצון הנגרמים על ידי רדיקלים חופשיים ומיני חמצן תגובתיים, אשר מצטברים עם הזמן ותורמים למחלות הקשורות לגיל.
  • נוגדי דלקת, אימונומודולטורים.
  • מניעת סרטן במגוון מנגנונים: מקדמים תיקון DNA, מכיוון שהם נוגדי חמצון ליפופיליים הם מונעים חמצון שומנים תלוי ברזל, ובכך מניעת מוות תאי מתוכנת במנגנון זה. הם נמצאו מייצבי קרום תאים ומווסתים של אפופטוזיס, כמו גם בקרת מחזור התא ואנגיוגנזה.

*** תוספת אוגוסט 25 – לוטאין וזיאקסנטין: מאטים הזדקנות של איברים חיוניים
לוטאין וזיאקסנטין, שהם קרוטנואידים בעלי חשיבות רבה לבריאות העיניים והמוח, נמצאים במגוון רחב של מזונות. המקורות העשירים ביותר בהם הם ירקות עליים ירוקים, ובמיוחד קייל, תרד, מנגולד, עלי לפת וכרוב. גם בברוקולי, כרובית, אפונה וקישואים ניתן למצוא כמויות נכבדות שלהם. בנוסף, ירקות ופירות בצבעים צהוב וכתום כמו פלפל צהוב, תירס, דלעת, גזר, מנגו, אפרסמונים עשירים בקרוטנואידים אלה. יש אותם גם ברמות יפות בחלמון של ביצים.

מחקר שפורסם באוגוסט 25 בכתב העת Frontiers in Nutrition בחן את הקשר בין צריכת לוטאין וזיאקסנטין לבין הזדקנות ביולוגית. המחקר, שהתבסס על נתונים מקיפים של 7,554 מבוגרים אמריקאים ממאגר ה-NHANES, הציג ממצאים פורצי דרך על השפעתם של קרוטנואידים אלו על קצב הזדקנות האיברים.

בניגוד לגיל הכרונולוגי, שמתקדם באופן אחיד, איברים בגוף כמו הלב, הכבד והכליות מזדקנים בקצב שונה. החוקרים השתמשו בביו-מרקרים כדי לחשב את "הגיל הביולוגי" של כל איבר ואת "הזדקנות היתר" שלו (biological aging acceleration), ומצאו כי צריכה גבוהה של לוטאין וזיאקסנטין קשורה באופן ישיר להאטה משמעותית בתהליך זה.

ממצאי המפתח מהמחקר:

  • הקשר להזדקנות איברים ספציפיים
    המחקר מצא כי צריכה גבוהה של לוטאין וזיאקסנטין הפחיתה את האצת ההזדקנות הביולוגית של הלב, הכליות והכבד.
    • הזדקנות קרדיו-וסקולרית: הנתונים מראים שהאצת ההזדקנות ירדה ביחס של 0.89-0.92 בשלושת המודלים השונים.
    • הזדקנות הכליות: האצת ההזדקנות ירדה ביחס של 0.90-0.92 בשלושת המודלים.
    • הזדקנות הכבד: ההשפעה הייתה קיימת אך מוחלשת מעט לאחר התאמות סטטיסטיות.
    • הזדקנות כללית: יחס הסיכויים של קבוצת הצריכה הגבוהה ביותר (Q4) להזדקנות כללית מואצת היה- (79%-) (במודל 1), (71%-) (במודל 2) ו-(68%-) (במודל 3) בהשוואה לקבוצה עם הצריכה הנמוכה ביותר (Q1).
  • הפחתה בתמותה
    המחקר בחן גם את הקשר בין צריכת הקרוטנואידים לסיכון לתמותה מכל הסיבות. הממצאים הראו כי בקרב קבוצת הצריכה הגבוהה ביותר של לוטאין וזיאקסנטין, הסיכון לתמותה היה נמוך בכ-40% בהשוואה לקבוצת הצריכה הנמוכה ביותר. נתון זה, שהיה מובהק סטטיסטית, מדגיש את החשיבות של צריכה מספקת של רכיבים תזונתיים אלו לבריאות ארוכת טווח.
  • 3. השפעה לפי גיל
  • ההשפעה המיטיבה של לוטאין וזיאקסנטין על האטת ההזדקנות הייתה בולטת ומשמעותית במיוחד בקרב מבוגרים מעל גיל 60. בקרב הצעירים (גילאי 20-39), לא נמצא קשר מובהק בין צריכת הקרוטנואידים להזדקנות או לתמותה.

מנגנוני הפעולה שנחשפו על ידי המחקר מראים כי לוטאין פועל במספר רמות כדי להילחם בהזדקנות: הוא תורם לשמירה על אורך הטלומרים (קצות הכרומוזומים), מווסת תהליכים מטבוליים, ומדכא תגובות דלקתיות על ידי דיכוי תאי T מסוג Th1.

לסיכום, המחקר החדש מספק ראיות משמעותיות לכך שלוטאין וזיאקסנטין הם יותר מסתם "ויטמינים לראייה". הם מהווים אסטרטגיה תזונתית מבטיחה לניהול בריאות ועיכוב תהליכי הזדקנות באופן מערכתי, במיוחד בקרב אוכלוסיות מבוגרות.

קרוטנואידים חשובים נוספים

  • אסטקסנטין שמקורו בעיקר באצות אדומות, והוא נמצא נוגד החמצון החזק ביותר הקשור במניעת מחלות לב וכלי דם, סרטן, מחלות קוגניטיביות ומוחיות אחרות, בעיות עיניים, מחלות מטבוליות ועוד.
  • זעפרן יש קרוטנואידים רבים וגם הוא נמצא יעיל במניעה וטיפול במחלות עצביות, רגשיות, מטבוליות, סרטן, כלי דם ולב.
  • כורכום עם רשימה מרשימה של מניעה וטיפול בעשרות ואולי מאות של מחלות. הוא מכיל בטא קרוטן. הכורכומין אמנם שייך למשפחת הפוליפנולים, אבל בהגדרה הוא גם סוג של קרוטנואיד קסנטופיל.
  • גוג'י האטד הסיני. עוד פרי עתיר יכולות (מוח, לב וכלי דם, עיניים, מטבוליות ועוד), שלא הוזכר ושמכיל רמות גבוהות במיוחד של קרוטנואידים הוא.

*** מאחר וקרוטנואידים מסיסים בשומן, מומלץ לצרוך אותם עם מעט שומן בריא (כמו שמן זית, אגוזים או אבוקדו) כדי לשפר את ספיגתם בגוף ***.

היי לך.. אני משקיע שעות רבות כל יום באיתור ותרגום מאמרים כדי לספק לכולם את המידע העדכני ביותר, לבריאות טובה בדרך הטבע. וכדי שאוכל להמשיך לספק את המידע ולתחזק את האתר. כל תרומה, גדולה או קטנה תהיה לעזר רב. לתרומה נוחה ופשוטה דרך Pay Pal.

כדי להתעדכן ראשונים מוזמנים להזין דוא"ל למטה


תגובות

כתיבת תגובה

קטגוריות A:B/ א-ב