פרצטמול (אקמול/ דקסמול, פראמול כולל נגזרות ותוספות ליום/לילה וכו') – תרופה שניתן להשיג ללא מרשם רופא וללא פיקוח אמיתי של מי לקח וכמה לקח.
התרופה הזו נלקחת למטרות של כאבים וחום, שכן פרצטמול משכך כאב באמצעות השפעה על קולטנים קנבינואידים במוח. מאחר שהקולטנים הללו מסייעים לקבוע כמה נוירונים יתבגרו ויתחברו אחד לשני, פרצטמול עשוי להשפיע על התפתחות מערכת העצבים במנגנון רעילות, ומאחר ולעוברים אין דרך לעבד את התרופה בכבד באותו אופן כמו אצל מבוגרים, הנזק עלול להיות הרסני.
פרצטמול במהלך ההיריון נלקח לטיפול במגוון חוליים ובמיוחד בכל הקשור להצטננות, שפעת, כאבים וחום. על פי דיווחים כ-65-70% מההריוניות נעזרות בפרצטמול[1].
באופן מסורתי, התרופה נחשבת על ידי אנשי מקצוע רפואיים בטוחה לשימוש במהלך ההריון.
למרות שהוכח כי פרצטמול חוצה את מחסום השליה ולכן עשוי להשפיע ישירות על התפתחות העובר, מנגנוני הפעולה להשפעה של פרצטמול על עוברים אינם ידועים אך בשנים האחרונות יוצאים יותר ויותר מאמרים המדווחים על קשרים עם בעיות נוירו התפתחותיות והתנהגותיות בילדים.
Prenatal paracetamol exposure and child neurodevelopment: a sibling-controlled cohort study . Oct 13
Acetaminophen use during pregnancy, behavioral problems, and hyperkinetic disorders. Apr 14
Associations between acetaminophen use during pregnancy and ADHD symptoms measured at ages 7 and 11 years. Sep 14
Use of paracetamol during pregnancy and child neurological development. Apr 15
Use of acetaminophen (paracetamol) during pregnancy and the risk of attention-deficit/hyperactivity disorder in the offspring. Mar 16
Association of Acetaminophen Use During Pregnancy With Behavioral Problems in Childhood: Evidence Against Confounding. Oct 16
Prenatal paracetamol exposure and child neurodevelopment: A review. May 18
Maternal Biomarkers of Acetaminophen Use and Offspring Attention Deficit Hyperactivity Disorder. Jul 18
ולמרות המידע שהצטבר ה-FDA מאשר את השימוש בנשים בהריון.
The U.S. Food and Drug Administration (FDA) is aware of and understands the concerns arising from recent reports questioning the safety of prescription and over-the-counter (OTC) pain medicines when used during pregnancy. As a result, we evaluated research studies published in the medical literature and determined they are too limited to make any recommendations based on these studies at this time.
- במחקר שפורסם במאי 21 בכתב העת European Journal of Epidemiology החוקרים ניתחו 73,881 זוגות אם וילד משישה מחקרים אירופיים באנגליה, איטליה, ספרד, דנמרק, יוון והולנד, שעקבו אחר אלפי אמהות וילדים מלפני הלידה ועד ילדותם ואילך.. בהתאם למחקר, בין 14% ל-56% מהאמהות דיווחו שנטלו פרצטמול בעת ההריון.
הממצאים עולים בקנה אחד עם מטה-אנליזות אחרות שמצאו כי חשיפה טרום לידתית (בהריון) לאצטמינופן נקשרה לסימפטומים של ADHD או אוטיזם, אך המטה-אנליזה החדשה אספה נתונים ממחקרים עם מתודולוגיה דומה כדי לקבל תמונה ברורה יותר של הקשר בין מצבים נוירולוגיים בבנות ובנים ובחשיפה לפני ואחרי הלידה. וזאת בגלל שהיו ביקורות על המטא אנליזות הקודמות.
אוטיזם והפרעות קשב וריכוז הם הפרעות התפתחותיות במוח הנוטות להופיע בילדות ולעתים קרובות הולכות יד ביד.
אוטיזם או מצבים של ספקטרום האוטיזם מאופיינים בקשיים בתקשורת ובאינטראקציה חברתית וגם בהתנהגויות חוזרות ונשנות ובמגבלות תחומי עניין מוגבלות, בעוד שהפרעת קשב וריכוז מאופיינת בקשיים בשמירה על קשב ובנושאים עם שליטה באימפולסיביות.
הסיבה למחקר הזה היא כי מחקרים אחרים הראו גם כי גורמים אימהיים במהלך ההריון – כמו סוכרת, השמנת יתר, יתר לחץ דם ומתח הם גורמי סיכון למצבים אלה. חשיפה לכימיקלים או לתרופות מסוימות במהלך ההריון נקשרה גם להתפתחות של אוטיזם אצל ילדים. ואצטמינופן, הנקרא גם אקמול, הוא משכך כאבים בשימוש נרחב לטיפול בכאבי ראש, חום וכאבים אחרים. תרופה ללא מרשם זו נחשבת לאחת המשככות הבטוחות ביותר בקרב נשים בהריון, לכן רופאים נוטים להמליץ עליה. אבל כמו לכל תרופה, יש השלכות בטח אם נלקחות בהריון. והחוקרים בחרו לבחון דווקא את התרופות הללו שאינן דורשות מרשם.
המחקרים העריכו את החשיפה לפרצטמול באמצעות שאלונים או ראיונות עם האמהות. החוקרים בחנו את זמנים השימוש בפרצטמול: פרנטל (בכל שלב של ההריון) ופוסט נטל (ילדים שקיבלו את התרופה במהלך 18 החודשים הראשונים לחייהם).
הניתוח הראה כי ילדים שנחשפו לאצטמינופן ברחם היו בסיכון גבוה ב -19% לפתח תסמיני אוטיזם וב- 21% לפתח תסמיני ADHD בהשוואה לצעירים שאמהותיהם לא נטלו את התרופה בהריון.
המחקרים הקודמים הצביעו על כך שמוחם של ילדים אוטיסטים שונים זה מזה, ומדגיש את החשיבות של התחשבות במין (זכר או נקבה). במטה-אנליזה החדשה נמצא כי חשיפה לפני הלידה לאצטמינופן קשורה להתפתחות תסמיני אוטיזם או הפרעות קשב וריכוז אצל בנות, אם כי הקשר היה מעט חזק יותר עבור בנים.
החוקרים ציינו כי ממצאיהם היו עקביים במחקרי הקוהורט השונים שנכללו בניתוח, שלדבריהם תומכים במסקנה כי פרצטמול הוא גורם סיכון לאוטיזם ולהפרעות קשב וריכוז.
יש עדויות לכך שאצטמינופן יכול לבצע שינויים בכמה חלבונים הרלוונטיים להתפתחות נוירולוגית, כמו למשל גורם נוירוטרופי שמקורו במוח, שהוא חלבון חשוב מאוד להתפתחות נוירולוגית. השערות אחרות הן כי פרצטמול משנה את העברת העצבים או מסלולים אנדוקריניים או גורם למתח חמצוני על ידי אפנון תהליכי דלקת.

- *** תוספת ספטמבר 21
ה"תרופה" הזו נמצאת עכשיו באור הזרקורים הודות להצהרת קונצנזוס שפורסמה בספטמבר 21 בג'ורנל Nature Reviews Endocrinology.
ההצהרה שאושרה על ידי צוות בינלאומי של 91 מדענים, מומחים לבריאות הציבור ורופאים, קובעת כי נשים בהריון צריכות לוותר על אקמול אלא אם היעוד הוא הפחתת חום, שכן חום אימהי הוא גורם ידוע לפגמים בצינור העצבי. סוג של נזק מול תועלת.
*** כמובן שאם הולכים לפי הרפואה הטבעית, לחום חלק חשוב בהורדת היכולת של המזהם להתפתח. ותיכף נראה שוב שבמדע הפארמה קשה לקבל החלטה גורפת כי תעשית התרופות נפגעת ***
המחברים מציינים שמחקרים מצביעים על כך שרוב הנשים ההרות הנוטלות אקמול עושות זאת בגלל דברים כמו כאבי ראש וכאבי גב – לא חום. השאלה היא: האם נשים בהריון (וספקי הבריאות שלהן) באמת מבינים את הסיכונים האפשריים הכרוכים בתרופה נפוצה זו ללא מרשם. הרי רק התבוננות בעלון לצרכן, צריכה להיות סיבה להשהות את הבחירה, שם מצוין "לא ידוע אם אצטמינופן עלול לגרום לנזק עוברי כאשר הוא ניתן לאישה בהריון".
אולם זה ידוע כעת!
- בהצהרה ל- CNN, ד"ר שאנה סוואן, מחברת שותפה במאמר ופרופסור לרפואה סביבתית ובריאות הציבור בבית הספר לרפואה של איקאן בהר סיני בניו יורק, אומרת שיש עדויות משמעותיות המצביעות על כך שאצטמינופן משבש את התפתחות הרבייה של בעלי חיים ובני אדם. זה כולל עדויות המראות כי שימוש באצטמינופן בהריון מגביר את הסיכון לאשכים טמירים אצל צאצאים זכרים, אשר קשורה לירידה בפוריות ובספירת הזרע בהמשך חייהם.
בהצהרה שלהם, צוות החוקרים העולמי מצביע על שנים רבות של נתונים, כולל 29 מחקרים תצפיתיים הכוללים יותר מ -220,000 זוגות אם-ילד המציגים תוצאות שליליות של התפתחות נוירו-התפתחותית.
עדיין לא ברור כיצד אצטמינופן יכול להזיק לתינוקות המתפתחים, אך התרופה ידועה כמטרידה אנדוקרינית. (שני משככי כאבים פופולריים אחרים, אספירין ואיבופרופן כבר קשורים למומים מולדים).
כמובן שאצטמינופן אינו זר להשפעות בריאותיות שליליות. הוא נותר הגורם המוביל לאי ספיקת כבד חריפה[2] הנגרמת על ידי תרופות בארצות הברית ומהווה גורם מוביל לביקורים מחלקות חירום ואשפוזים. אז כשנשאלה ד"ר סוואן מדוע לאחר שנים של תמיכה של ה-FDA, הקולג 'האמריקאי למיילדות, גינקולוגים וארגונים אחרים, ההמלצה לשימוש באצטמינופן במהלך ההריון עולה באש?
ד"ר סוואן ענתה זאת בפשטות: "ככל שהזמן מתקדם, העובדות מתחזקות ומתחזקות ומצביעות על כך שרק זלזלנו בסיכון של שימוש בהריון בפרצטמול. לאמירה הזו יש משמעות גדולה בכל הקשור לזריקות mRNA החדשות לגמרי שנדחפות היום לנשים הרות וילדים-למרות היעדר מוחלט של נתוני בטיחות ארוכי טווח".
- *** תוספת ספטמבר 22
בדו"ח חדש שפורסם בספטמבר 22 בכתב העת PLOS Medicine חוקרים מאוניברסיטת Penn State סקרו נתונים ממחקר First Baby Study, שהוא מחקר פרוספקטיבי שנועד לבחון את ההשפעה של אופן הלידה של האם על הלידה על ידי מעקב אחר יותר מ-3,000 נשים שילדו תינוקות בין השנים 2009-2011 בבתי חולים רבים בפנסילבניה.
הם בחרו מתוכן 2,423 נשים שמעולם לא ילדו לפני כן, ועקבו אחריהן ואחרי ילדיהן מהטרימסטר השלישי להריון ועד 3 שנים לאחר הלידה. נשים נסקרו פעם אחת במהלך ההריונות שלהן לגבי השימוש בתרופות ותדירות ורמות מתח. האמהות דיווחו על כל תרופות (עם או בלי מרשם) מתוכם, 41.7% מהנשים דיווחו על שימוש באצטמינופן במהלך ההריון.
המשתתפות רואיינו לאחר 1, 6, 12, 18, 24, 30 ו-36 חודשים לאחר לידת ילדם. בראיון שנמשך 36 חודשים, המשתתפים התבקשו לדרג את ילדם באמצעות סולם של שלוש נקודות כדי לתאר באיזו תדירות הם מציגים מגוון רחב של תוצאות נוירו-התפתחותיות והתנהגותיות (לעיתים קרובות מאוד נכון, קצת או לפעמים נכון, ולא נכון). מצבים כמו " לא יכול לשבת בשקט או חסר מנוחה", "נמנע מלהסתכל לאחרים בעיניים" ו"לא רוצה לישון לבד". לאחר מכן נערכו ציונים עבור כל התנהגות כדי לקבוע אם ילדים קיבלו ציון גבוה בתחומים של תגובתיות רגשית, חרדה או מדוכאת, נסיגה, בעיות שינה והתנהגות אגרסיבית.
באמצעות תגובות מתוך רשימת 99 הפריטים להתנהגות ילדים, החוקרים העריכו אם ילדים לאמהות שהשתמשו בפרצטמול במהלך ההיריון נוטים יותר לסבול מבעיות קשב, שינה או בעיות נוירו-התנהגותיות אחרות.
המחקר מצא שכ-42% מהמשתתפות דיווחו על שימוש בפרצטמול במהלך ההריון, כאשר שליש מהנשים עוברות זירוז לידה ו-29.4% עברו לידה קיסרית.
נשים אלו היו גם בסבירות גבוהה יותר להיות מאובחנות עם חרדה או דיכאון לפני ההיריון שלהן והיו בסבירות גבוהה יותר לדווח על רמות גבוהות של מתח במהלך ההריונות שלהן.
הן גם נטו יותר לבלוע תרופות אחרות ללא מרשם בנוסף לפרצטמול, בהשוואה לנשים שלא נטלו פרצטמול. צוות המחקר שלט בגורמים אלה.
לאחר התאמה למשתנים המבלבלים, ילדים של נשים שהשתמשו בפרצטמול היו בסבירות גבוהה יותר לסבול מבעיות שינה ובעיות קשב בהשוואה לילדים של אלו שלא השתמשו בפרצטמול במהלך ההיריון.
המחקר מצא ששימוש באצטמינופן במהלך ההריון העלה את הסיכון לבעיות קשב ולהפרעות שינה בקרב ילדים צעירים ביותר מ-20%.
מבחינת החוקרים התוצאות מאששות את הממצאים של מחקרים קודמים המצביעים על כך ששימוש בפרצטמול לפני הלידה עלול להוביל לבעיות קשב, תוך שהם מראים שגם שינה עשויה להיות מושפעת. בקרב נשים שהשתמשו בפרצטמול במהלך ההיריון, 22.7% תיארו את ילדן כבעל בעיות שינה ו-32.9% תיארו את ילדיהן כסובלים מבעיות קשב. מבין המשתתפים שלא דיווחו על שימוש באצטמינופן בהריון, 18.9% דיווחו שלילדם יש בעיות שינה בעוד 28.0% דיווחו שלילדם יש בעיות קשב.
https://www.psu.edu/news/research/story/prenatal-acetaminophen-use-linked-sleep-attention-problems-preschoolers/
- *** תוספת ינואר 24
אצטמינופן נחשב למשכך כאבים ומוריד חום בטוח ביותר ללא מרשם במהלך ההריון, ומחקרים מראים כי 50-65% מהנשים בצפון אמריקה ואירופה נטלו אותו במהלך ההריון.
מחקר חדש של חוקרים מאוניברסיטת Illinois Urbana-Champaign חקר את הקשר בין שימוש בפרצטמול במהלך ההריון לבין תוצאות התקדמות השפה בילדות המוקדמת.
העבודה נערכה כחלק ממחקר התפתחות הילדים של אילינוי (IKIDS), אשר בוחן כיצד חשיפות סביבתיות בהריון ובילדות משפיעות על התפתחות הילד.
הממצאים פורסמו בדצמבר 23 בכתב העת Pediatric Research.
החוקרים מציינים שמחקרים קודמים כבר מצאו קשר בין שימוש בפרצטמול במהלך ההריון לבין כישורי תקשורת גרועים יותר של ילדים. אבל מחקרים אלה השתמשו במדדים של התפתחות שפה שהיו פחות מדויקים מהשיטות שיושמו במחקר הנוכחי.
על פי החוקרים המחקרים הקודמים שאלו אנשים בהריון לכל היותר פעם בשליש על השימוש שלהם בפרצטמול, אבל עם IKIDS, הם דיברו עם המשתתפים כל ארבעה עד שישה שבועות במהלך ההריון ולאחר מכן תוך 24 שעות מיום לידתו של הילד, כך שהיו להם שש נקודות זמן במהלך ההריון.
ניתוחי השפה כללו 298 ילדים בני שנתיים שהיו במעקב לפני הלידה, 254 מהם חזרו למחקר נוסף בגיל 3. עבור ילדים בני שנתיים, החוקרים פנו ל-MacArthur-Bates Inventory Development Communicative Inventory, המבקש מהורה לדווח על אוצר המילים של הילד, מורכבות השפה והאורך הממוצע של שלוש ההתבטאויות הארוכות ביותר של הילד.
החוקרים למעשה רצו לאסוף נתונים בגיל הזה כי זו התקופה שבה יש התפוצצות של מילים חדשות (word explosion). הילדים פשוט מוסיפים מילים כל יום לאוצר המילים שלהם.
מדד אוצר המילים מבקש מההורים לבחור מילים שהילדים שלהם השתמשו מתוך רשימה של 680 מילים. ההורים העריכו את ילדיהם שוב בגיל 3, והשוו את כישורי השפה שלהם לאלה של בני גילם.
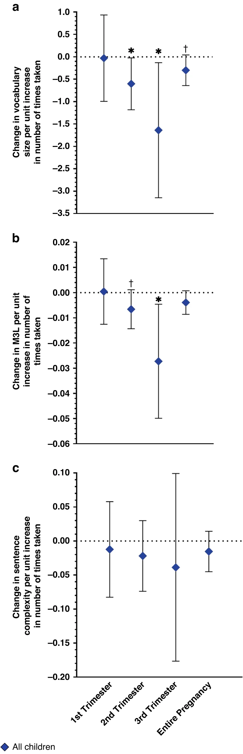
הניתוח קישר בין שימוש בפרצטמול בשליש השני והשלישי של ההריון לעיכובים צנועים אך משמעותיים בהתפתחות השפה המוקדמת.
שימוש מוגבר בפרצטמול היה קשור לציוני אוצר מילים קטנים יותר ו-Mean Length of Utterance (MLU) נמוך יותר לאחר שנתיים. (MLU הוא מדד המתייחס לאורך הממוצע של המשפטים שילד משתמש בהם בדרך כלל. לדוגמה, כאשר ילדים לומדים לראשונה לדבר, ה-MLU שלהם הוא לעתים קרובות 1 מכיוון שהם משתמשים רק במילה אחת בכל פעם: "כדור", "אמא", "שלי", "לא". אם ילד משתמש במילה אחת כזו בערך חצי מהזמן אבל מחבר שתי מילים בחצי השני של הזמן (כמו "הכדור שלי"), אז היינו אומרים שה-MLU הוא 1.5 מילים).
הממצא הדרמטי ביותר היה שכל שימוש באצטמינופן בשליש השלישי של ההריון היה קשור להפחתה של כמעט שתי מילים באוצר המילים בילדים בני שנתיים. זה מצביע על כך שאם אישה בהריון לקחה פרצטמול 13 פעמים – או פעם בשבוע – במהלך השליש השלישי של ההריון, הילד שלו עשוי להביע פחות 26 מילים בגיל שנתיים מאשר ילדים אחרים בגיל הזה.
החוקרים מסבירים שהתפתחות מוח העובר כמובן מתרחשת במהלך כל ההריון, אך השליש השני והשלישי הם זמנים קריטיים במיוחד. השמיעה מתפתחת בשליש השני, והתפתחות השפה מתחילה כבר בשליש השלישי עוד לפני שהתינוק נולד.
החוקרים חושדים שהפרצטמול מפעיל את השפעתו דרך המערכת האנדוקנבינואידית, שהיא גם חשובה מאוד להתפתחות העובר.
https://news.illinois.edu/view/6367/1205726599

- מחקר נוסף על בסיס אותם חוקרים שפורסם בינואר 24 בכתב העת Neurotoxicology and Teratology. קושר שימוש מוגבר באצטמינופן במהלך ההריון – במיוחד בשליש השני – לעלייה מתונה אך ניכרת בבעיות קשב והתנהגות בילדים בני שנתיים, שלוש וארבע.
החוקרים גם ביקשו מהמטפלים לענות על עשרות שאלות סטנדרטיות לגבי התנהגות ילדם ויכולת הקשב שלהם בגילאי 2, 3 ו-4. יותר מ-300 ילדים הוערכו בגיל שנתיים, כאשר 262 הוערכו שוב בגיל 3, ו-196 בגיל 4.
הממצא החשוב ביותר היה שעם הגדלת השימוש בפרצטמול על ידי משתתפות בהריון, במיוחד במהלך השליש השני, ילדיהן הראו יותר בעיות הקשורות לקשב והתנהגויות מסוג ADHD, בכל גיל שמדדו.
סוגי ההתנהגויות שעליהם דיווחו המטפלים כללו דברים כמו: "הילד מדבר שלא בתורו", "לא שם לב", "לא שקט כשהוא אמור להיות שקט, "לא יושבים כשהם אמורים לשבת" ו"קצת אגרסיבי עם ילדים אחרים.
https://www.eurekalert.org/news-releases/1031169

- *** תוספת פברואר 25
מחקר שפורסם בפברואר 25 בכתב העת Nature Mental Health מוסיף עוד לממצאים שחשיפה לאצטמינופן עוברית מגבירה את הסבירות שילד יפתח הפרעת קשב וריכוז (ADHD).
החוקרים מציינים שמחקר קודם הראה כי למעלה מ-70% מהנשים ההרות משתמשות בפרצטמול במהלך ההריון כדי לשלוט בכאב או להפחית חום. התרופה, שהיא המרכיב הפעיל של תרופות רבות לשיכוך כאבים, היא אחת מהבודדות שנחשבות בטוחות לנטילה במהלך ההריון על ידי מנהל המזון והתרופות האמריקאי. "הממצאים החדשים מצביעים על כך שרופאים צריכים לשקול מחדש לרשום תרופות עם פרצטמול לאמהות במהלך ההריון", אמרו החוקרים והוסיפו "התרופה הזו אושרה גם לפני עשרות שנים, וייתכן שתזדקק להערכה מחודשת על ידי ה-FDA, פרצטמול מעולם לא הוערך עבור חשיפות עובריות ביחס להשפעות נוירו-התפתחותיות ארוכות טווח".
מחקר זה ניתח נתונים מקבוצת המחקר "תנאים המשפיעים על התפתחות נוירוקוגניטיבית ולמידה בילדות מוקדמת" (CANDLE), שכללה 1,031 נשים בהריון מממפיס, טנסי, שנרשמו בין 2006-2011. מתוכן 307 נשים הסכימו לתת דגימות דם במהלך ההריון. החוקרים עקבו אחר סמנים בפלזמה של פרצטמול בדגימות הדם.
הילדים שנולדו לאמהות אלו היו במעקב במשך 8-10 שנים.
המחקר מצא בקרב הנשים שלא השתמשו בפרצטמול במהלך ההיריון, שיעור הפרעות קשב וריכוז היה 9%, אך אצל הנשים שהשתמשו בפרצטמול שיעור הפרעת קשב וריכוז בקרב ילדיהם עמד על 18%. מטבוליטים של אצטמינופן זוהו ב-20.2% מדגימות הפלזמה של האם. לילדים שאמהותיהם היו סמנים ביולוגיים אלו בפלזמה שלהם הייתה סבירות גבוהה פי 3.15 לאבחון ADHD בהשוואה לאלו ללא חשיפה מזוהה. הקשר היה חזק יותר בקרב בנות מאשר בנים, כאשר בנותיהן של אמהות שנחשפו לפרצטמול הראו סבירות גבוהה ביותר מפי 6 מאלה שללא חשיפה.
החוקרים הדגישו שלמרות שקבוצת המחקר כללה רק נשים שחורות, ניתן להכליל את התוצאות לנשים וילדים מכל גזע או אתניות. - *** תוספת אוגוסט 25
חוקרים בבית הספר לרפואה Mount Sinai מצאו כי חשיפה טרום לידתית לאצטמינופן עשויה להגביר את הסיכון להפרעות נוירו-התפתחותיות, כולל הפרעת ספקטרום האוטיסטי והפרעת קשב וריכוז (ADHD), אצל ילדים.
המחקר, שפורסם היום באוגוסט 25 בכתב העת BMC Environmental Health, הוא הראשון המיישם את מתודולוגיית Navigation Guide הקפדנית כדי להעריך באופן שיטתי את הקפדנות והאיכות של הספרות המדעית.
הניתוח שמונה 46 מחקרים, המשלב נתונים מיותר מ-100,000 משתתפים במספר מדינות, מאתגר את התפיסה שאצטומינופן בטוח לנשים בהריון, שכן זו האפשרות המומלצת ביותר כיום לתקופת ההריון שכן החלופות עם סיכונים גדולים יותר.
החוקרים מסבירים ש Navigation Guide Systematic Review היא מסגרת תקן זהב לסינתזה והערכת נתוני בריאות סביבתית. גישה זו מאפשרת לחוקרים להעריך ולדרג את הסיכון להטיה של כל מחקר, כגון דיווח סלקטיבי של התוצאות או נתונים לא שלמים, כמו גם את עוצמת הראיות ואיכות המחקרים באופן פרטני וקולקטיבי.
החקרים ציינו: "הממצאים שלנו מראים שמחקרים איכותיים יותר נוטים יותר להראות קשר בין חשיפה לאצטמינופן טרום לידתי לבין סיכונים מוגברים לאוטיזם והפרעת קשב וריכוז, בהתחשב בשימוש הנרחב בתרופה זו, אפילו עלייה קטנה בסיכון עלולה להיות בעלת השלכות משמעותיות על בריאות הציבור."
המאמר בוחן גם מנגנונים ביולוגיים שיכולים להסביר את הקשר בין שימוש באצטמינופן להפרעות אלו. ידוע שאצטמינופן חוצה את מחסום השליה ועשוי לעורר עקה חמצונית, לשבש הורמונים ולגרום לשינויים אפיגנטיים המפריעים להתפתחות המוח העוברי. - עם עלייה באבחונים של אוטיזם והפרעת קשב וריכוז ברחבי העולם, לממצאים אלה יש השלכות משמעותיות על מדיניות בריאות הציבור, הנחיות קליניות וחינוך מטופלים. המחקר מדגיש גם את הצורך הדחוף בחדשנות תרופתית כדי לספק חלופות בטוחות יותר לנשים בהריון.
ואז כמעט תמיד קורה משהו בהעברת המסרים של החוקרים.
החוקרים מצטנעים בממצאים שלהם ומבקשים לבדוק את הדברים במחקרים גדולים יותר ושזה לא חד משמעי (למרות שיש כבר מספיק עדויות). ושאין תרופה אחרת שתעשה זאת יותר טוב כי גם יתר NSAIDS מסוכנים לעובר, אז אין ברירה כי חום גבוה הוא מסוכן גם כן וזה שהוא הליך טבעי של הגוף לנטרול פתוגנים מחד והעצמת הפעילות החיסונית מאידך, איננה שיקול בכלל.
משתמע מזה שמקסימום אקמול ידכא את פעילות מערכת החיסון המולדת והנרכשת של ההריונית וייצור את בעיות ההתפתחות של המוח של העובר.
*** למקרה הצורך וחושדים בהרעלת פרצטמול, יש להשתמש ב נ-אצטיל-ציסטאין (NAC) או גלוטתיון.
לאפשרויות טבעיות לשיכוך כאבים היכנסו.
מאמרים חשובים נוספים להבנה והעמקה את הבעיתיות של מזהמים נוספים שיכולים לשבש את המוח במיוחד בזמן הריון וינקות:
סוכר – מאמר מרכז על השלכות בריאותיות (מחלות מטבוליות, מחלות לב, סרטן, דלקות, קוגנטיביות) במגוון מנגנונים.
חומרי הדברה אורגנופוספאטים פוגעים באזור המוח הקוגנטיבי והחברתי
נמצא קשר בין שימוש מוקדם של אנטיביוטיקה למחלות כרוניות רבות
הקשר שבין אנטיביוטיקה ל-ADHD
מאמרים המציגים גם דרכים טבעיות לשפר את הבעיות שפרצטמול מייצר:
קשב וריכוז (ADHD) – חשיבות התזונה – מזהמים סביבתיים – מאמר מרכז.
ספקטרום האוטיזם – מזהמים סביבתיים וחסרים תזונתיים.
היי לך.. אני משקיע שעות רבות כל יום באיתור ותרגום מאמרים כדי לספק לכולם את המידע העדכני ביותר, לבריאות טובה בדרך הטבע. וכדי שאוכל להמשיך לספק את המידע ולתחזק את האתר. כל תרומה, גדולה או קטנה תהיה לעזר רב. לתרומה נוחה ופשוטה דרך Pay Pal.
כדי להתעדכן ראשונים מוזמנים להזין דוא"ל למטה
כתיבת תגובה