לחץ הדם הוא סמן שהרפואה הקונבנציונלית רואה בו כגורם סיכון למוות ממחלות לב ושבץ מוחי.
לחץ דם תקין מוגדר 80/120. כל מה שגבוה יותר נחשב ללחץ דם גבוה.
הטיפול הניתן לרוב הוא תרופתי. התרופות חוסמות מנגנונים חשובים ולכן לאורך זמן הם נמצאים לא יעילים ואף פוגעים.
לחץ דם גבוה מעיד באמת מעיד על אורח חיים לא טוב אם זה תזונה מעובדת. אם זה מתחים שלא מנוהלים, אם זה חוסר פעילות גופנית, המנעות מחשיפה לשמש וחשיפה למזהמים תעשייתיים (מזון, אוויר, מים).
פלבנולים ממשפחת הפלבנואידים הם נוגדי חמצון הנמצאים בין היתר בקקאו, תה, תפוחים, פירות יער.
על פי רוב מחקרים מסתמכים על תשאול אנשים לגבי התזונה שלהם ועל סמך הממצאים קובעים אם יש קשר בין התזונה או רכיבים מהתזונה לתסמינים שונים ומחלות. חשוב לציין שלא מדובר בקשר סיבתי אלא על המצאות קשר כלשהוא שדורש המשך מחקר (במידה ומישהו מעונין להמשיך ולגלות את הסיבה).
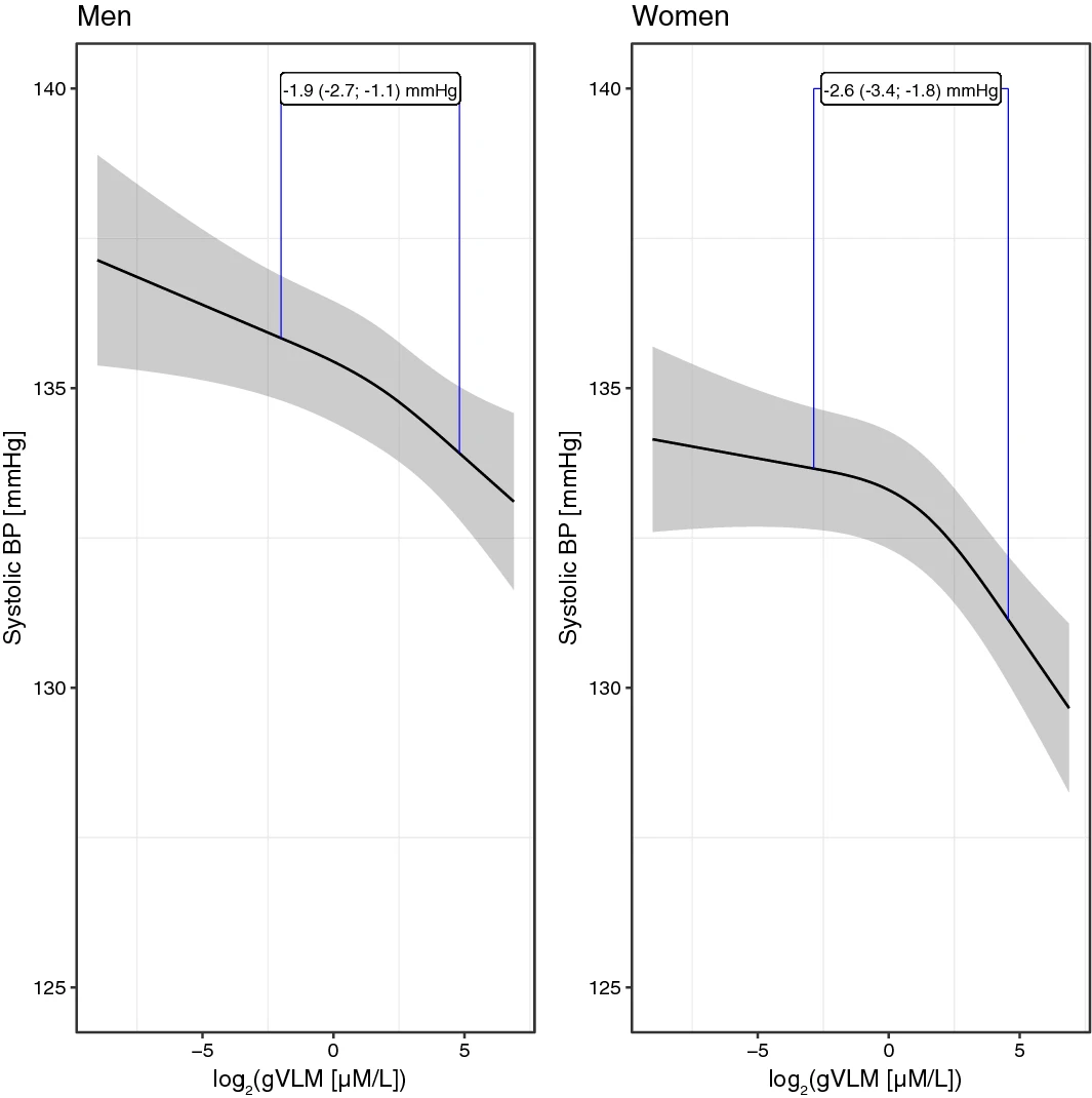
הפעם קבוצת חוקרים מאוניברסיטאות רידינג, קיימברידג וקליפורניה דייויס ומארס בדקו סמנים ביולוגיים (פלבנולים) בדם ושתן אצל 25,618 משתתפי מחקר אירופי על סרטן (EPIC – European Prospective Investigation into Cancer) ואת הממצאים פרסמו באוקטובר 20 בכתב העת Scientific Reports.
ההבדל בין הקבוצות עם הצריכה הגבוהה ביותר לנמוכה ביותר נעים בין 2-4 מ"מ כספית שזה הבדל מהותי כמו שנמצא לגבי תזונה ים תיכונית ותזונה דלת נתרן. אצל הנשים השינוי היה מעט יותר משמעותי… החוקרים מציינים שהתוצאות היו עוד יותר מוחשיות אצל אלה עם יתר לחץ דם
https://www.reading.ac.uk/news-and-events/releases/PR849288.aspx



שימו לב שהכותרת של המחקר מדברת על כך שנמצא קשר שהפלבנולים נקשרים בירידת לחץ דם וחשוב לציין שבטבע אין באמת צמחים או מזונות או רכיבים תזונתיים שהפעולה שלהם היא הורדת לחץ דם כפי שכותבים החוקרים. מהסיבה שהם לא נבדקו רק על אנשים שהם עם לחץ דם תקין… כלומר אם יקחו 100 אנשים עם לחץ דם תקין, נוגדי החמצון לא יורידו את לחץ הדם שלהם ויהפכו אותו לנמוך… מה שהם עושים למעשה, זה מניעה של חמצון של רכיבי מזון אחרים כמו שומן וכולסטרול… כאשר הם מתחמצנים מתחילים תהליכים של הסתיידויות ופלאקים והם הסיבה לעליית לחץ הדם.
במחקר מפברואר 2020 שפורסם בג'ורנל הרפואי Circulation מראים את הקשר בין החיידקים הטובים לסיבים הפרהביוטיים במניעת מחלות לב על רקע לחץ דם גבוה, שמכונה גם הרוצח השקט, כי הוא לרוב א-סימפטומטי. הטיפול בו הוא תרופתי ותרופות ללחץ דם מכילות סיכונים רבים…
תזונה המכילה סיבים תזונתיים מוביל להתפתחות חיידקי מעיים שקשורים לויסות לחץ הדם על ידי יצירת מטבוליטים (SCFAs), שמגיבים עם רצפטורים בשם GPCR's שבין יתר תפקידם הם מווסתים את מערכת העצבים האוטונומית ותהליכים אוטומטיים כמו לחץ הדם ודופק הלב.
***תוספת אוגוסט 21
במחקר שפורסם באוגוסט 21 בג'ורנל Hypertension מראים החוקרים את הקשר שבין מיקרוביום – פלבנואידים – לחץ דם. מחקרים קודמים הראו קשר בין פלבנואידים למחלות לב וכלי דם, בין היתר לחץ דם גבוה והם רצו לראות אם יש גם קשר למיקרוביום, שגם לו השפעה על בריאות כלי הדם והלב.
החוקרים מציינים שמיקרוביום המעיים ממלא תפקיד מרכזי במטבוליזם של פלבנואידים כדי לשפר את ההשפעות הקרדיו-הגנתיות שלהם, ושמחקר זה מספק ראיות המצביעות על כך שניתן להשיג השפעות להורדת לחץ דם באמצעות שינויים פשוטים בתזונה היומית.
המחקר גם בדק עד כמה שונות בתוך המיקרוביום של המעיים יכולה להסביר את הקשר בין צריכת מזון עשיר בפלבנואידים לבין לחץ דם.
קבוצה של 904 מבוגרים בגילאים 25 עד 82, ממאגר הביובנק הבינלאומי PopGen בגרמניה גויסו למחקר זה. החוקרים העריכו את צריכת המזון של המשתתפים, את מיקרוביום המעיים ולחץ הדם יחד עם פנוטיפים קליניים ומולקולריים אחרים בבדיקות מעקב קבועות.
צריכת המשתתפים במזונות עתירי פלבנואידים במהלך השנה הקודמת חושבה מתוך שאלון מזון המפרט את התדירות והכמות הנאכלת של 112 מזונות. ערכי פלבנואידים הוקצו למזונות על פי נתוני משרד החקלאות של ארצות הברית על תכולת הפלבנואידים במזון.
מיקרוביום המעיים למשתתפים הוערך על ידי DNA חיידקי צואה המופק מדגימות צואה. לאחר צום בן לילה, נמדדו רמות לחץ הדם של המשתתפים שלוש פעמים במרווחים של שלוש דקות לאחר תקופת מנוחה ראשונית של חמש דקות. החוקרים אספו גם מידע על אורח החיים של המשתתפים, כולל מין, גיל, מצב עישון, BMI, שימוש בתרופות ופעילות גופנית, כמו גם היסטוריה משפחתית של מחלת עורקים כליליים, מספר הקלוריות והסיבים היומיים הנצרכים.
הניתוח של צריכת פלבנואידים קבועה עם מיקרוביום במעיים ורמות לחץ דם מצא שלמשתתפי המחקר שהצריכה הגבוהה ביותר של מזונות עשירים בפלבנואידים, כולל פירות יער, יין אדום, תפוחים ואגסים, היו רמות לחץ דם סיסטוליות נמוכות יותר, כמו גם גיוון גדול יותר במיקרוביום המעיים שלהם מאשר המשתתפים שצרכו את הרמות הנמוכות ביותר של פלבנואידים.
עד 15.2% מהקשר בין מזון עשיר בפלבנואידים ללחץ דם סיסטולי יכול להיות מוסבר על ידי המגוון שנמצא במיקרוביום המעיים של המשתתפים.
אכילת 1.6 מנות פירות יער ביום (מנה אחת שווה 80 גרם, או כוס אחת) הייתה קשורה לירידה ממוצעת ברמות לחץ הדם הסיסטולי של 4.1 מ"מ כספית, וכ -12% מהקשר נקבעו על ידי גורמי מיקרוביום במעיים.
שתיית 2.8 כוסות (125 מ"ל יין לכוס) יין אדום בשבוע הייתה קשורה בממוצע של 3.7 מ"מ כספית נמוכה יותר של לחץ הדם הסיסטולי, מתוכם 15% ניתן להסביר על ידי מיקרוביום המעיים.
יין אדום מונע מחלות לב וכלי דם בין היתר כי הוא מחזק את המיקרוביום
החוקרים מציינים שהבנה טובה יותר של השונות האינדיבידואלית של חילוף החומרים מהפלבונואידים יכולה בהחלט להסביר מדוע לאנשים מסוימים יש יתרונות הגנה קרדיווסקולאריים גבוהים יותר ממזונות עתירי פלבנואידים מאשר לאחרים.
https://www.qub.ac.uk/News/2021/New research shows link between gutmicrobiome and flavonoids in improving blood pressure levels
***תוספת ספטמבר 21
יתר לחץ דם עמיד מוגדר כלחץ דם בלתי מבוקר (80/130 מ"מ כספית ומעלה) למרות השימוש בשלוש תרופות או יותר להפחתת לחץ הדם.
על פי הערכות יתר לחץ דם עמיד משפיע על כ -5% מכלל האוכלוסייה העולמית ויכול להשפיע על 20% עד 30% מהמבוגרים הסובלים מלחץ דם גבוה. יתר לחץ דם עמיד קשור גם לנזק באיברי הקצה ולסיכון גבוה ב -50% לאירועים קרדיווסקולריים, כולל שבץ, התקף לב ומוות.
איגוד הלב האמריקאי פרסם מחקר בספטמבר 21 בג'ורנל Circulation שבחן שינויים באורח החיים אצל 140 מבוגרים עם יתר לחץ דם עמיד (3.5 תרופות להורדת לחץ דם בממוצע) לתקופה של 4 חודשים.
המשתתפים חולקו באופן אקראי לשתי קבוצות: 90 משתתפים קיבלו ייעוץ תזונתי (DASH) שבועי והכשרה גופנית במסגרת שיקום לב אינטנסיבי ומפוקח שלוש פעמים בשבוע (קבוצת C-LIFE). ו- 50 המשתתפים האחרים קיבלו פגישת מידע אחת ממחנך בריאות והנחיות כתובות בנושא פעילות גופנית, ירידה במשקל ויעדים תזונתיים שיש לעקוב אחריהם בעצמם (קבוצת SEPA).
בדיקות לחץ דם נמדדו ברמה יומית.
החוקרים בחנו למעשה את ההבדל בין התמודדות אישית והתמדה בהנחיות עם תמיכה ברמה שבועית לעומת לבד.
תוצאות המחקר הראו באופן כללי שאצל קבוצת C-LIFE ביתה ירידה של 12.5 יחידות בממוצע בלחץ הדם הסיסטולי לעומת 7.1 בקבוצת SEPA.
בבדיקות שנקבעו מראש, שבוצעו בבית הנחקרים במהלך 24 שעות מצאו שבקבוצת C-LIFE היתה ירידה של 7 נקודות לעומת 0.3 בקבוצת SEPA.
למשתתפי התכנית המפוקחת היו גם שיפורים גדולים יותר במדדים מרכזיים אחרים לבריאות הלב, מה שמעיד על סיכון נמוך יותר לאירוע לב בעתיד.
זה אומר שבעוד שאנשים מסוימים עשויים לבצע שינויים באורח החיים בעצמם, סביר שתכנית מובנית של פעילות גופנית בתמיכה ושינויים תזונתיים שנערך על ידי צוות רב תחומי של אנשי מקצוע בתחום הבריאות בתוכניות שיקום לב תהיה יעילה יותר.
החוקרים מציינים שהנקודה החשובה ביותר היא שלא מאוחר מדי להוריד לחץ דם (עמיד) על ידי בחירת אורח חיים בריא. אימוץ אורח חיים בריא מעניק דיבידנדים עצומים, אפילו לאנשים שלחץ הדם שלהם נשאר גבוה למרות שהם נוטלים שלוש תרופות או יותר נגד יתר לחץ דם.
https://newsroom.heart.org/news/healthy-changes-in-diet-activity-improved-treatment-resistant-high-blood-pressure
*** תוספת מרץ 23
סך של 2159 מקרים של יתר לחץ דם זוהו במהלך המעקבים של 53,678 אנשים.
הגיל הממוצע היה 56.9 שנים ו-36.5% היו גברים (n = 3766). הצריכה הממוצעת המצטברת של סך הפלבנואידים התזונתיים הייתה 176 מ"ג ליום.
החוקרים מצאו קשר הפוך אך לא לינארי בין צירכת פלבנואידים במיוחד אנתוציאנינים, הן בנשים והן בגברים. אצל הגברים זה השפיע במיוחד במקרים של BMI גבוה מ-23.
https://www.mdpi.com/2072-6643/15/5/1186
*** תוספת אפריל 23
במאמר שפורסם באפריל 23 בג'ורנל Food and Function Journal, חוקרים מאוניברסיטת King's College London ביצעו מחקר חתך בקרב 525 מתנדבים בריאים שהשתתפו בעבר בתשעה מחקרים קליניים שנערכו בין השנים 2017-2021 כדי להבין את הקשר בין צריכת פוליפנולים לבין בריאות קרדיומטבולית.
החוקרים העריכו את תכולת הפוליפנולים ותתי מחלקות של פוליפנולים ומצאו קשר מועיל לבריאות קרדיומטבולית, כאשר פלבנונים היו המתווך העליון של ההשפעה המיטיבה על פרופיל השומנים והסוכרים בפלזמה ותפקוד תאי בטא
להבנה טובה יותר על לחץ הדם ועל דברים נוספים שעוזרים לווסת אותו היכנסו.
להמנעות מטרשת עורקים ודרכי טיפול נוספים היכנסו.
לחלק של הפרקטיקה! מה עושים עכשיו ואיך מיישמים את כל הידע הזה.
🧰 ארגז הכלים המעשי, 🗓️ תוכניות פעולה הדרגתיות ליישום הרגלים קריטיים.
🛒 רשימות קניות ממוקדות וטבלאות רכיבים, 👨🍳 מתכונים קלים ומדויקים.
💡 הנחיות יישום (מה זה אומר בפועל). 🔬 הרחבות, נספחים, 🚨 תוספים ודיוקים.
🌟המודולים מסודרים בטבלה לפי נושאים נחקרים 🌟
👈 מוזמנים לפנות אלי באופן פרטי לווטסאפ (0544-606696).👉
🤝 ולהכיר את הקבוצה: "לצאת מעדר הרגיל – הפרקטיקה"
היי לך.. אני משקיע שעות רבות כל יום באיתור ותרגום מאמרים כדי לספק לכולם את המידע העדכני ביותר, לבריאות טובה בדרך הטבע. וכדי שאוכל להמשיך לספק את המידע ולתחזק את האתר. כל תרומה, גדולה או קטנה תהיה לעזר רב. לתרומה נוחה ופשוטה דרך Pay Pal.
מוזמנים להזין דוא"ל למטה כדי להתעדכן ראשונים
כתיבת תגובה