הקשר בין התזונה שלנו לבין משך החיים ואיכותם אינו עוד השערה, אלא עובדה מדעית מוצקה המתבססת על אלפי מחקרי עוקבה ברחבי העולם. בלב המנגנון הזה עומדת היכולת של רכיבים צמחיים מסוימים לנטרל עקה חמצונית – תהליך המזיק לתאים, פוגע בדופן כלי הדם ומעודד מוטציות סרטניות.
החלק של פלבונולים:
פלבונולים – הם תרכובות כימיות המצויות במגוון של פירות וירקות צבעוניים. הם בעלי תכונות נוגדות חמצון ומהווים חלק מקבוצה גדולה יותר של כימיקלים טבעיים הנקראים ביו-פלבנואידים.
מקורות מרכזיים בתזונה:
- קוורצטין זהו הפלבונול הנחקר והמוכר ביותר. ניתן למצוא אותו במגוון רחב של מזונות הכוללים צלפים, ענבים, פירות יער (דובדבנים, חמוציות, אוכמניות ופטל), תפוחים ופירות הדר. הוא נמצא בריכוז גבוה גם בירקות כמו בצל (לבן וסגול), פלפל צהוב, אספרגוס, ברוקולי, קייל וחסה אדומה, וכן בדגנים ובקטניות דוגמת כוסמת, קינואה, אמרנט ועגבניות.
- קאמפרול רכיב חיוני המצוי בשפע בירקות ירוקים, בעיקר בקייל ותרד, וכן בשעועית ירוקה ובברוקולי.
- רוטין פלבונול התורם לחוסן התאי ונמצא בכוסמת, אספרגוס, תאנים, תה ירוק ושחור, סמבוק ופירות הדר. חשוב לציין כי בתפוחים ועגבניות הוא מצוי בריכוז גבוה במיוחד בקליפה (לכן מומלץ לא לקלוף אותם). הוא נמצא גם בבצל, קייל ובמגוון פירות יער.
- מיריציטין מצוי בעיקר בעגבניות, אגוזים, פירות יער וסוגי תה שונים
ממצאים של מחקר אוכלוסייה גדול של כמעט 12,000 מבוגרים בארה"ב, שפורסם בפברואר 24 בכתב העת Scientific Reports הראו ראיות התומכות באינספור ההשפעות של פלבונולים על הבריאות ותמותה בטרם עת.
החוקרים מצאו שלאנשים שצרכו יותר פלבונולים היתה שכיחות נמוכה יותר של מוות בסך הכל, כמו גם שכיחות נמוכה יותר של סרטן ומחלות לב וכלי דם. התוצאות גם המחישו השפעה תלוית מינון, כלומר ככל שנצרכו יותר, כך התוצאות היו טובות יותר בהשוואה לאלו שצרכו פחות.
בנוסף, החוקרים הצליחו לזהות תוצאות בריאותיות עבור תרכובות פלבונול ספציפיות, כגון קוורצטין, מה שמעניק עוד יותר תובנות לגבי הדרכים שבהן כימיקלים אלו משפיעים על מחלות.
כדי לזהות את הקשר בין פלבונולים לסיכון לתמותה, חוקרים מהאוניברסיטה הרפואית Anhui בסין השתמשו ברשומות אלקטרוניות מהסקר הלאומי לבריאות ותזונה (NHANES) – מערך נתונים ציבורי מתמשך בארצות הברית שנועד לסייע בזיהוי מגמות בבריאות, תזונה ומחלות בקרב האוכלוסייה האמריקאית.
שלוש שנים של נתוני NHANES, כולל 11,679 אנשים בני 20 לפחות, שימשו למחקר; הגיל הממוצע של המשתתפים היה 47. הקבוצה הייתה מגוונת. המשתתפים חולקו באופן שווה בין גברים ונשים. מבחינת מוצא אתני, כ-50% היו לבנים, כמעט 20% היו שחורים, 16% אמריקאים מקסיקניים ו-17% בעלי אתניות אחרת. זמן המעקב היה 8 שנים בממוצע.
באמצעות נתונים תזונתיים של המשתתפים, החוקרים הצליחו להעריך את הצריכה הממוצעת של פלבונולים ותתי-פלבונול (isorhamnetin, kaempferol, myricetin ו- quercetin).
המחקר מצא שאנשים שהסיכון לתמותה מכל הסיבות ירד ב-36% בקרב אלו שצרכו הכי הרבה פלבונולים. הסיכון למוות מסרטן ירד ב-55%, הסיכון למוות ממחלות קרדיו-וסקולריות ירד ב-33%. החוקרים גם חישבו סוגי פלבונולים באופן ספציפי:
- צריכת quercetin הייתה קשורה לסיכון נמוך ב- 46% לתמותה מסרטן ו-39% לתמותה ממחלות קרדיו-וסקוליות.
- isorhamnetin (תוצר פירוק של קוורצטין) היה קשור לסיכון נמוך ב-28% לתמותה מכל-סיבה ול-38% סיכון נמוך לתמותה מסרטן.
- צריכת קאמפרול הייתה קשורה לסיכונ נמוך יותר ב-30% לתמותה מכל סיבה שהיא ו- 38% ירידה בסיכון מסרטן.
- צריכת myricetin הייתה קשורה לירידה של23% בתמותה מכל-סיבה וההשפעה הגבוה ביותר של 66% לתמותה מאלצהיימר כמו גם 39% לתמותה ממחלות קרדיו-וסקולריות.
בקיצור: לאכול יותר פירות וירקות יהיה טוב יותר לבריאות!
כלומר כדי לוודא מספיק פלבונולים בתזונה יש להקפיד לאכול הרבה פירות וירקות. וכדי להבטיח שנקבל מגוון של פלבונולים יש להקפיד גם על מגוון פירות וירקות ובצבעים שונים. 5-7 מנות פרי וירק ליום בהחלט יעד אפשרי להשגת הכמות הרצויה והמגנה מפני המחלות מהן מתים בטרם עת.
*** תוספת ינואר 26
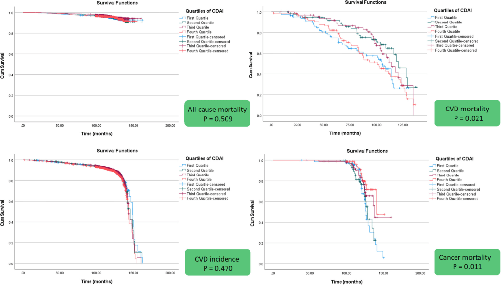
מחקר עוקבה המבוסס על (מחקר ה-MASHAD) שפורסם בינואר 26 בכתב העת Food Science & Nutrition ביקש לבחון את הקשר בין תמותה לבין מדד נוגדי חמצון משולב הנקרא CDAI (Composite Dietary Antioxidant Index). הצורך במחקר זה נבע מההבנה כי בטבע נוגדי חמצון אינם פועלים בבידוד, אלא כרשת הגנה סינרגטית.
החוקרים עקבו במשך כעשור אחר 6,484 משתתפים (בני 35-65) ובדקו כיצד שקלול של שישה רכיבי תזונה מרכזיים משפיע על הסיכון למוות מסרטן וממחלות לב.
מדד ה-CDAI מורכב משלושה ויטמינים ושלושה מינרלים:
- ויטמין A (המצוי בירקות כתומים כמו גזר ודלעת ובירקות עליים).
- ויטמין C (הנמצא בשפע בפירות הדר, פלפלים וברוקולי).
- ויטמין E (המצוי בשקדים, זרעי חמנייה ושמנים צמחיים).
- סלניום (המרוכז באגוזי ברזיל, דגנים וקטניות).
- אבץ (המצוי בעדשים, גרעיני דלעת וקשיו).
- מנגן (הנמצא בשיבולת שועל, אורז חום ותרד).
ממצאי המחקר חשפו תמונה מרתקת לגבי הדינמיקה של הגנה תזונתית. בניתוח הנתונים על פני ארבע קבוצות צריכה (רבעונים), נמצא כי המשתתפים שצרכו רמה מתונה עד גבוהה של נוגדי חמצון (רבעונים 2 ו-3) נהנו מהגנה מקסימלית: ירידה של כ-47% בסיכון לתמותה ממחלות לב וכלי דם (CVD), וירידה מרשימה של כ-60% בסיכון לתמותה מסרטן במודלים הראשוניים. עם זאת, ניתוח מעמיק של הגרפים הסטטיסטיים גילה תופעה חשובה של "רעש" קלורי בקבוצת הצריכה הגבוהה ביותר (רבעון 4). בקבוצה זו, שצרכה ממוצע גבוה מאוד של כ-2,667 קלוריות ביום, היתרון המגן של נוגדי החמצון נחלש מעט או "טושטש". עובדה זו מדגישה את המשמעות הקלינית של צפיפות תזונתית; כלומר, היכולת להשיג רמות גבוהות של ויטמינים ומינרלים מבלי לחרוג מהתצרוכת הקלורית היומית, שכן עודף אנרגטי עלול לייצר עומס מטבולי המבטל את השפעתם המיטיבה של נוגדי החמצון. בוודאי ובוודאי אם האינדיבידואל נוטה ליושבנות ומיעול פעילות גופנית.

החוקרים הגיעו למסקנה כי מדד ה-CDAI הוא כלי ניבוי עוצמתי ליכולת ההישרדות של הגוף מול מחלות כרוניות. הממצאים מצביעים על כך ששמירה על "סל" נוגדי חמצון עשיר ומגוון מהווה תעודת ביטוח ביולוגית, במיוחד עבור אוכלוסיות החשופות לעקה חמצונית גבוהה, כמו מעשנים או סובלים מיתר לחץ דם.
מחקר זה מתחבר ומתקף את הממצאים של המחקר שלעיל; בעוד שהפלבונולים פועלים כ"חיילים" המנטרלים רדיקלים חופשיים באופן ישיר, מדד ה-CDAI מייצג את "מערך הלוגיסטיקה" של הגוף – הויטמינים והמינרלים הנחוצים להפעלת אנזימים מנקי רעלים ולתיקון ה-DNA. נקודת המפגש המרתקת בין שני גופי הידע הללו היא העובדה שהם נשענים על מקורות מזון זהים לדוגמה: אותם בצל, תפוחים, ברוקולי, עלים ירוקים ופירות יער שסיפקו את הפלבונולים במחקר הראשון, הם אלו שהעניקו את ציוני ה-CDAI הגבוהים במחקר השני. האינטגרציה ביניהם מלמדת כי ההגנה המיטבית אינה נובעת מרכיב פלא אחד, אלא מהסינרגיה הטבעית הקיימת במזון השלם, שבו פיטוכימיקלים צמחיים ומיקרו-נוטריאנטים חיוניים פועלים יחד ליצירת חוסן תאי ארוך טווח.
לחלק של הפרקטיקה! מה עושים עכשיו ואיך מיישמים את כל הידע הזה.
🧰 ארגז הכלים המעשי, 🗓️ תוכניות פעולה הדרגתיות ליישום הרגלים קריטיים.
🛒 רשימות קניות ממוקדות וטבלאות רכיבים, 👨🍳 מתכונים קלים ומדויקים.
💡 הנחיות יישום (מה זה אומר בפועל). 🔬 הרחבות, נספחים, 🚨 תוספים ודיוקים.
🌟המודולים מסודרים בטבלה לפי נושאים נחקרים 🌟
👈 מוזמנים לפנות אלי באופן פרטי לווטסאפ (0544-606696).👉
🤝 ולהכיר את הקבוצה: "לצאת מעדר הרגיל – הפרקטיקה"
היי לך.. אני משקיע שעות רבות כל יום באיתור ותרגום מאמרים כדי לספק לכולם את המידע העדכני ביותר, לבריאות טובה בדרך הטבע. וכדי שאוכל להמשיך לספק את המידע ולתחזק את האתר. כל תרומה, גדולה או קטנה תהיה לעזר רב. לתרומה נוחה ופשוטה דרך Pay Pal.
כדי להתעדכן ראשונים מוזמנים להזין דוא"ל למטה
כתיבת תגובה