תרופת אספירין משווקת כתרופת פלא וזאת למרות שידוע ורשום בכל מקום שהיא מעודדת כיבים ודימומים.
במרץ 2019 איגוד הקרדיולוגים האמריקאי הבין שיש עם התרופה הזו בעיה ודי הוריד אותה בהנחיות החדשות לגבי מניעת מחלות לב וכלי דם.
מחקר שפורסם בנובמבר 21 בג'ורנל ESC Heart Failure, כתב העת של האגודה האירופית לקרדיולוגיה (ESC) מצא ששימוש באספירין קשור לסיכון מוגבר של 26% לאי ספיקת לב אצל אנשים עם לפחות גורם נטייה אחד למצב (עישון, השמנת יתר, לחץ דם גבוה, כולסטרול גבוה, סוכרת ומחלות לב וכלי דם). ובתכלס, אלה הם האנשים שעל פי רוב מציעים להם אספירין כחלק מרפואה מונעת.
החוקרים טוענים שזהו המחקר הראשון שדיווח כי בקרב אנשים עם לפחות גורם סיכון אחד לאי ספיקת לב, אלו הנוטלים אספירין היו בעלי סיכוי גבוה יותר לפתח את המצב לאחר מכן מאשר אלו שאינם משתמשים בתרופה. למרות שהממצאים דורשים אישור, הם מצביעים על כך שצריך להבהיר את הקשר הפוטנציאלי בין אספירין לאי ספיקת לב. השפעתו של אספירין על אי ספיקת לב אמנם שנויה במחלוקת. אבל מחקר זה נועד להעריך את הקשר שלו עם שכיחות אי ספיקת לב אצל אנשים עם וללא מחלת לב ולהעריך האם השימוש בתרופה קשור לאבחון חדש של אי ספיקת לב באנשים בסיכון.
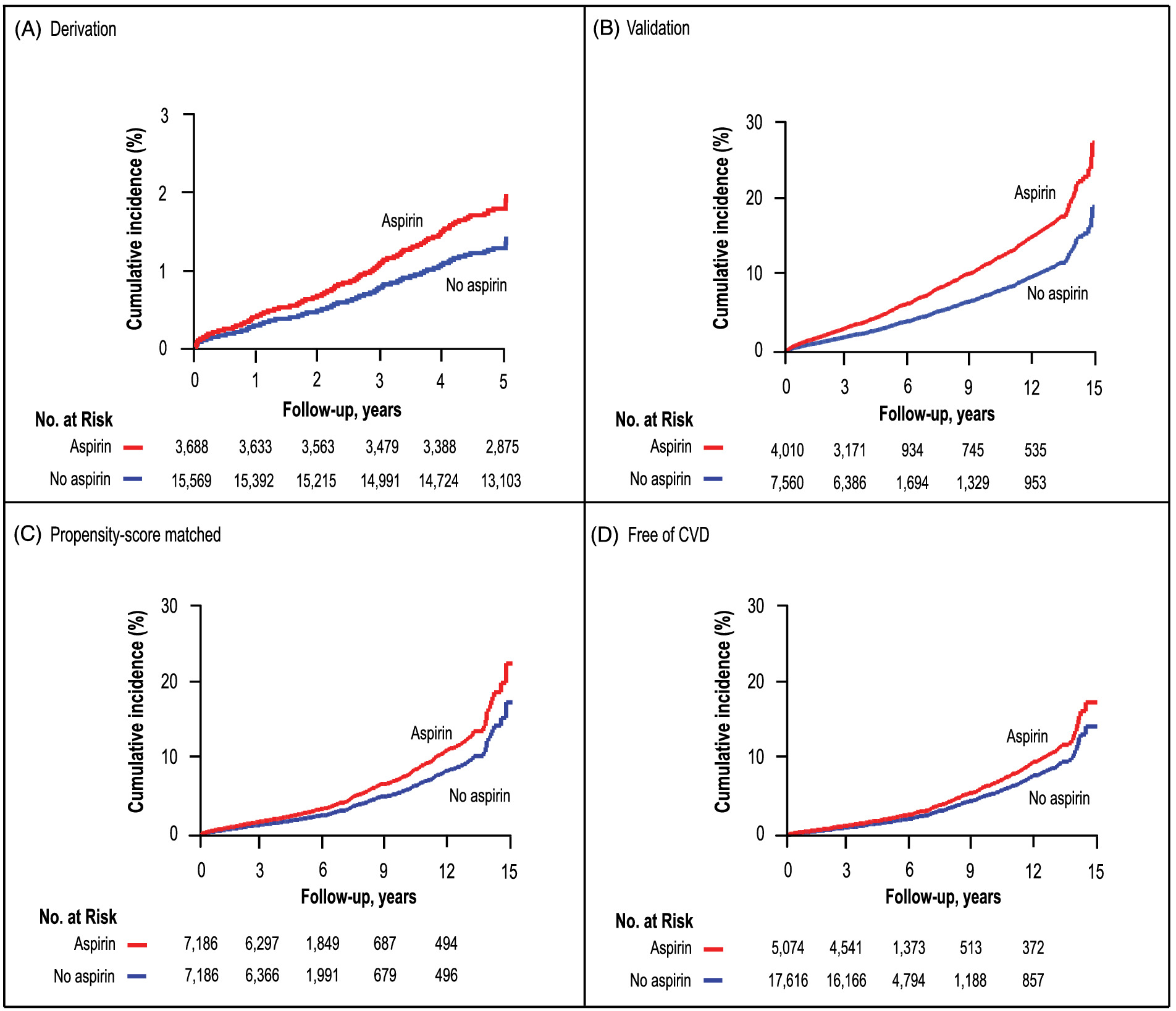
הניתוח כלל 30,827 אנשים בסיכון לפתח אי ספיקת לב שנרשמו ממערב אירופה ומארצות הברית למחקר HOMAGE. המשתתפים היו בני 40 ומעלה וללא אי ספיקת לב בתחילת המחקר. הגיל הממוצע של המשתתפים היה 67 שנים ו-34% היו נשים.
השימוש באספירין תועד בעת ההרשמה והמשתתפים סווגו כמשתמשים או לא משתמשים. בסך הכל 7,698 משתתפים (25%) נטלו אספירין.
המשתתפים היו במעקב אחר השכיחות הראשונה של אי ספיקת לב קטלנית או לא קטלנית הדורשת אשפוז. במהלך 5.3 שנות המעקב, 1,330 משתתפים פיתחו אי ספיקת לב.
החוקרים העריכו את הקשר בין שימוש באספירין לבין אי ספיקת לב לאחר התאמה למין, גיל, מדד מסת הגוף, עישון, שימוש באלכוהול, לחץ דם, דופק, כולסטרול בדם, קריאטינין, יתר לחץ דם, סוכרת, מחלות לב וכלי דם וטיפול בתרופות כמו רנין, מעכבי מערכת אנגיוטנסין-אלדוסטרון, חוסמי תעלות סידן, משתנים, חוסמי בטא ותרופות להורדת שומנים בדם.
כדי לבדוק את עקביות התוצאות, החוקרים חזרו על הניתוח לאחר התאמת משתמשי אספירין ללא משתמשים לגורמי סיכון לאי ספיקת לב. בניתוח תואם זה, אספירין היה קשור לסיכון מוגבר של 26% לאבחון חדש של אי ספיקת לב. כדי לבדוק את התוצאות עוד יותר, הניתוח חזר על עצמו לאחר אי הכללה של חולים עם היסטוריה של מחלות לב וכלי דם. ב-22,690 משתתפים (74%) ללא מחלות לב וכלי דם, השימוש באספירין היה קשור לסיכון מוגבר של 27% לאי ספיקת לב.

החוקרים מדגישים שזה היה המחקר הגדול הראשון שחקר את הקשר בין שימוש באספירין לבין אי ספיקת לב אצל אנשים עם וללא מחלת לב ולפחות גורם סיכון אחד. אספירין נפוץ – במחקר שלנו אחד מכל ארבעה משתתפים נטלו את התרופה. באוכלוסייה זו, השימוש באספירין היה קשור לאי ספיקת לב, ללא תלות בגורמי סיכון אחרים.
https://www.escardio.org/The-ESC/Press-Office/Press-releases/Aspirin-is-linked-with-increased-risk-of-heart-failure
היי לך.. אני משקיע שעות רבות כל יום באיתור ותרגום מאמרים כדי לספק לכולם את המידע העדכני ביותר, לבריאות טובה בדרך הטבע. וכדי שאוכל להמשיך לספק את המידע ולתחזק את האתר. כל תרומה, גדולה או קטנה תהיה לעזר רב. לתרומה נוחה ופשוטה דרך Pay Pal.
מוזמנים להזין דוא"ל למטה כדי להישאר מעודכנים
כתיבת תגובה