הם לא מפסיקים להדהים אותי…
ואני לא מתכוון לחוקרים, למרות שהם אלה שמגלים דברים חדשים.
אני מתכוון כמובן לחיידקים השוכנים במערכת העיכול ובכלל.
מיקרוביום המעיים הוא מערכת אקולוגית דינאמית המורכבת מטריליוני חיידקים, פטריות ומיקרובים אחרים החיים בתוך מערכת העיכול. זה משפיע מאוד על הבריאות הכללית של האדם, ובדרך כלל אנו מבחינים בהשפעותיו רק כאשר יש חוסר איזון.
הפרעה במיקרוביום במעיים, בין אם בשל תזונה לקויה או טיפול אנטיביוטי, יכולה להשפיע על מערכת העיכול, מערכת החיסון ומערכת העצבים המרכזית, כמו גם על תפקודים ותהליכים גופניים שונים.
תפקידי שרירי השלד הם תנועה, שמירה על יציבה של כל הגוף, העצמות והמפרקים וכן ייצור חום גוף וזו סיבה מספיק טובה כדי לשמור על מסת השריר. ישנם מצבים הפוכים, שבהם יש איבוד מסת שריר אם באופן טבעי עם הגיל ואם במחלות כמו סרטן ובמקרים אלה יהיה קריטי עוד יותר לחזק את המיקרוביום.
שינוי בהרכב המיקרוביום משפיע גם על איכות הזיקנה
השפעת המיקרוביום על מערכת החיסון במגוון מנגנונים
מתן פרוביוטיקה לאנשים מבוגרים
מיקרוביום ואנטי-אייג'ינג
- במחקר שפורסם ביולי 2019 בכתב העת Science Transnational Medicine רצו לראות אם ישנו קשר בין חיידקי המעי לשרירים למסה שלהם ולתפקוד שלהם, כדי להבין יותר טוב את בעיית הדילול של השרירים במבוגרים ובכלל.
הם ערכו לעכברים בדיקת כושר וחוזק על ידי ריצה, עמידה על 2 רגליים אחוריות, והרמת משקלים (26-100 גרם בהדרגה).
הם הבחינו שלעכברים ללא חיידקים היתה בעיה בתפקודי מיטוכונדריה וביצירת מיטוכונדריות חדשות, דבר שהתבטא בהתעייפות וחולשה מה שמאפיין גם תהליכי התבגרות ודילול שרירים אצל בני האדם. וכשהשתילו להם חיידקים מעכברים בריאים, חלק ממסת השריר ותפקודי השריר חזרו, כמעט לאותה רמה של העכברים הבריאים.
הם ראו שהמיקרוביום מייצר מטבוליטים שמשפרים תפקודים ברמת צומת שלד-שריר (neuromuscular junction) שם נעשית העברת המסרים בין תא עצב לסיבי השריר לפעולה (כיווץ), כלומר מיקרוביום חזק הוא גם תנאי לבריאות שלד-שריר, לתפקוד השריר ולשמירה על מסת השריר. ואולי במקרים מסויימים יהיה ניתן גם להחזיר חלקית את התפקוד ומסת השרירים שאבדו אצל מבוגרים או לפחות למנוע את המשך ההדרדרות.
שכן נפילות עקב חולשת שרירים הן נפוצות ומסוכנות. - מחקר נוסף שמחזק את הנושא הזה נערך בפברואר 2015 מצא כי עכברים שאין להם מיקרוביום הפחיתו את מסת שריר השלד. מחברי המחקר סיכמו כי המצב החיידקי של המעיים הוא קריטי לביצועי האימון.
- מחקר אחר מ-2015 מציג את היכולות של חומצת שומן בוטיראט המיוצרת על ידי חיידקי המעי למסת שריר.
- *** תוספת ספט' 21
מדענים מאוניברסיטת קנטקי חיזקו את הקשר החדש בין המיקרוביום לפעילות גופנית, ובין המיקרוביום לצמיחת השרירים במודל של עכברים.
את המחקר פרסמו בספטמבר 21 בכתב העת The Journal of Physiology.
במסגרת הניסוי, החוקרים ניתחו 42 עכברים. הם נתנו אנטיביוטיקה לקבוצה אחת באמצעות מי השתייה שלהם ולקבוצה השניה לא. העכברים התאמנו על גלגלי ריצה במשך כ -9 שבועות.
לאחר מכן החוקרים מדדו והשוו את שרירי השלד של שתי הקבוצות, הכוללים את שרירי הזרועות והרגליים.
שתי קבוצות העכברים רצו במשך זמן דומה במהלך תקופת האימון, והמדענים הגיעו למסקנה כי לאנטיביוטיקה לא הייתה השפעה עמוקה על ביצועי הריצה.
שימוש באנטיביוטיקה דלל את רמות מיקרוביום המעיים. וגרמו לדיסביוזה, שהיא חוסר איזון במיקרופלורת המעיים.
כן נצפה שבקבוצת העכברים שקיבלו אנטיביוטיקה הייתה צמיחת שרירים איטית ופחות בולטת בתגובה לפעילות גופנית. זה מצביע על כך שכדי שהשרירים יגדלו בעקבות פעילות גופנית, יש צורך במיקרוביום שלם בריא ומגוון.
עוד החוקרים מציינים שמטבוליטים המיוצרים על ידי חיידקי המעיים יכולים להשפיע על מסת השריר. קבוצה אחת של מטבוליטים שיכולות לעשות זאת הן חומצות שומן קצרות שרשרת, המיוצרות על ידי תסיסה חיידקית של סיבים תזונתיים, שהוכחו כמגדילים את מסת השריר. https://www.eurekalert.org/news-releases/929371 - *** תוספת ינואר 22
Urolithin A הוא תרכובת טבעית המיוצרת על ידי חיידקי המעיים שלנו מפוליפנולים, אלגיטנינים (ETs) וחומצה אלגית (EA), הנמצאים ברימונים, פירות יער ואגוזים. תרכובת זו מיוצרת ונמכרת גם על ידי חברות תוספי תזונה.
במחקרים פרה-קליניים, Urolithin A נמצא כמגן מפני הזדקנות ומצבים הקשורים לגיל המשפיעים על השרירים, המוח, המפרקים ואיברים אחרים.
המיטוכונדריה נחשבת למרכזי הכוח של התא שכן הן מסייעות ביצירת אנרגיה ממזון שהתא יכול להשתמש בו. ההזדקנות גורמת לירידה בתפקוד המיטוכונדריאלי.
Urolithin A מגרה מיטופאגיה (תהליך של מיחזור המיטוכונדריה הישנה והפגומה עבור גרסאות חדשות ובריאות יותר), או מה שהחוקרים מכנים "בקרת איכות מיטוכונדריה.
החוקרים מסבירים שמיטוכונדריה הן כמו סוללות שמניעות את התאים בגוף, אבל עם הזמן הן מתפרקות. מיטופאגיה היא תהליך שמזהה את הכשל הזה ומפיל באופן יזום את המיטוכונדריה, ומצמצם אותה למרכיבים אלמנטריים שתא יכול לעשות בהם שימוש חוזר. ככל שאנו מתבגרים, המיטופגיה הופכת פחות יעילה, מה שמוביל להצטברות של מיטוכונדריה כושלת בגוף. זו הסיבה מדוע השרירים הופכים פחות מתפקדים ככל שאנו מתבגרים.
המחקר שפורסם בינואר 22 בג'ורנל JAMA Network Open כלל 66 אנשים מעל גיל 65 אשר חולקו אקראית לקבלת פלצבו או תוספת יומית של 1,000 מ"ג אורוליטין A למשך ארבעה חודשים. אלו שקיבלו יורוליטין A חוו שיפור משמעותי בסיבולת השרירים (מספר התכווצויות שרירים עד עייפות) עבור שרירי השלד של היד והרגליים, בהשוואה לאלו שהשתמשו בפלסבו.
בנוסף, Urolithin A נמצא קשור להפחתה משמעותית ברמות אציל-קרניטין וסרמידים הקשורים בהפרעות מטבוליות המערבות מיטוכונדריה. שינויים אלה מצביעים על כך שהטיפול משפיע על שיפור חילוף החומרים הכללי שלהם.
המחקר אמנם מדבר על תוסף, אני תמיד אמליץ על חיזוק המיקרוביום ועל רכיבי התזונה שמהם מיוצר החומר הפעיל. - מחקר ממרץ 23 בג'ורנל Nutrients מראה גם הוא קשר בין סרקופניה למיקרוביום.

- מחקר שפורסם במהדורת יולי 24 בכתב העת Clinical Nutrition נועד לחקור את הקשר הפוטנציאלי בין צריכת חיידקים חיים בתזונה לבין סרקופניה.
החוקרים לקחו נתונים מ-5368 משתתפים של סקר בחינת הבריאות והתזונה הלאומית (NHANES).
לאחר התאמה לגורמים מבלבלים פוטנציאליים, אנשים בקבוצה הגבוהה של צריכת החיידקים בתזונה הראו שכיחות נמוכה יותר של סרקופניה ב-37% בהשוואה לאלו שבקבוצה הנמוכה.
דוגמאות למאכלים פרוביוטיים תמצאו בפסקה שלמטה.
פרוביוטיקה: Lactobacillus plantarum [1]; Lactobacillus paracasei [1]
לחלק של הפרקטיקה! מה עושים עכשיו ואיך מיישמים את כל הידע הזה.
🧰 ארגז הכלים המעשי, 🗓️ תוכניות פעולה הדרגתיות ליישום הרגלים קריטיים.
🛒 רשימות קניות ממוקדות וטבלאות רכיבים, 👨🍳 מתכונים קלים ומדויקים.
💡 הנחיות יישום (מה זה אומר בפועל). 🔬 הרחבות, נספחים, 🚨 תוספים ודיוקים.
🌟המודולים מסודרים בטבלה לפי נושאים נחקרים 🌟
👈 מוזמנים לפנות אלי באופן פרטי לווטסאפ (0544-606696).👉
🤝 ולהכיר את הקבוצה: "לצאת מעדר הרגיל – הפרקטיקה"
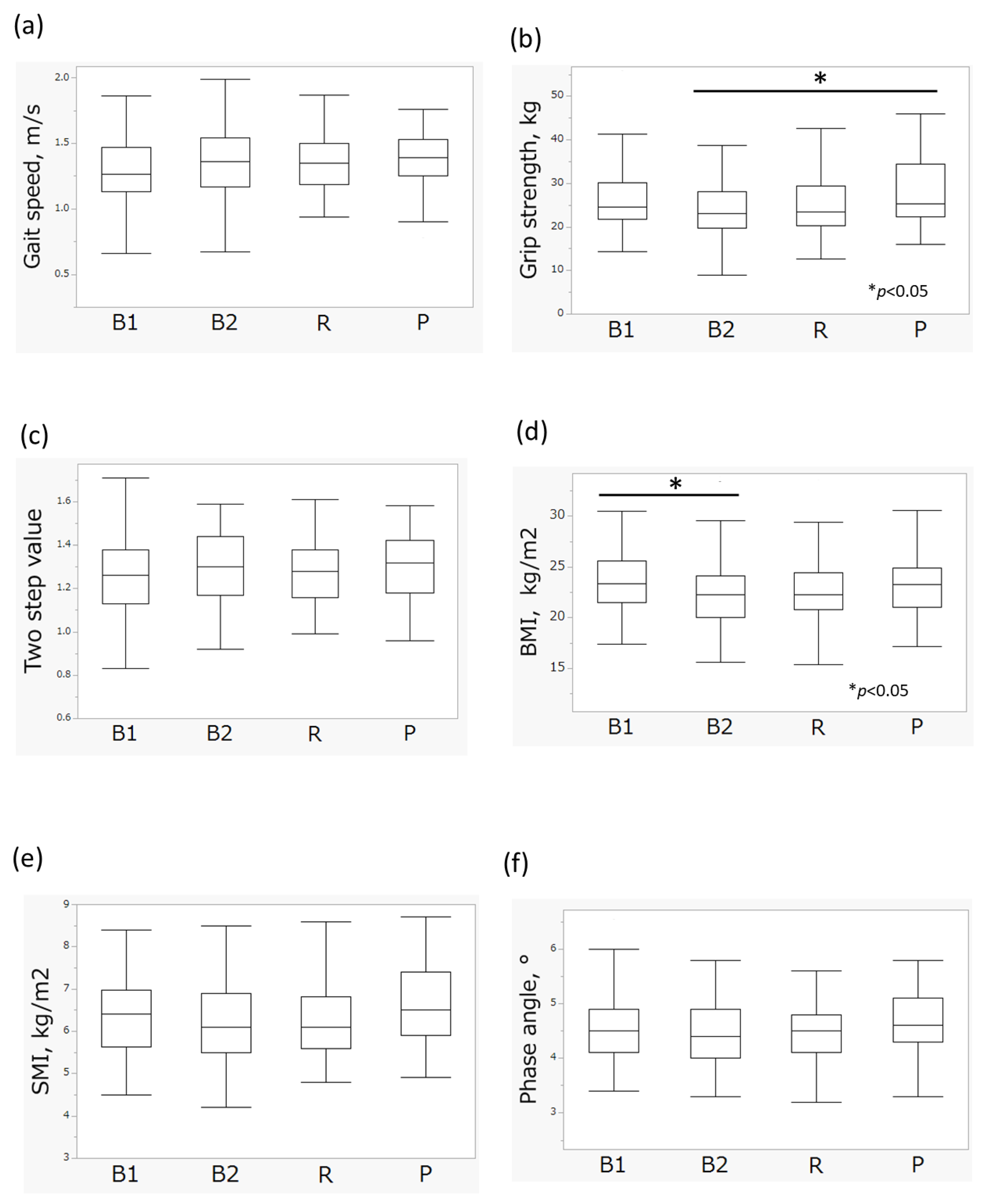
- תוספת אוקטובר 25 – זיהוי דפוס מיקרוביום מנבא לסרקופניה
מחקרים קודמים, כפי שראינו, כבר הראו קשר ברור בין מיקרוביום בריא לצמיחת שריר אצל עכברים וכן קשר כללי לסרקופניה בבני אדם. כעת, מחקר חתך פורץ דרך שפורסם באוקטובר 25 בג'ורנל Nutrients, בקרב 322 מבוגרים יפנים, סיפק הוכחה חזקה וספציפית לקשר הזה.
החוקרים ביקשו לבדוק אם ישנם דפוסי הרכב מיקרוביום קבועים (Enterotypes) שיכולים לנבא סרקופניה (איבוד מסת שריר וכוח הקשור לגיל).
המחקר השתמש בקריטריונים אבחוניים אחידים לסרקופניה (כוח אחיזה, מסת שריר) וסיווג את הרכב המיקרוביום לארבעה דפוסי Enterotypes. הממצא המרכזי הראה כי משתתפים שסווגו לדפוס ET-B2 היו בעלי כוח אחיזה נמוך משמעותית (מדד מפתח לכוח השריר) וכן שכיחות גבוהה יותר של סרקופניה, בהשוואה למשתתפים בדפוס ET-P הנחשב בריא יותר. מבחינה מספרית, מודל שניבא סרקופניה על בסיס הגיל יחד עם דפוס ET-B2 שיפר משמעותית את רמת הדיוק בניבוי התופעה. החוקרים הראו כי שכיחות הסרקופניה בקרב משתתפים עם דפוס המעי ET-B2 הייתה גבוהה פי 4.5 בהשוואה לאלו עם דפוס ET-P הנחשב בריא יותר. בנוסף, הוספת דפוס המיקרוביום למודל הניבוי שיפרה את יכולת האבחון המוקדם של סרקופניה בכמעט 16% לעומת הסתמכות על גיל לבדו.
משמעות הדפוס הלא בריא: דפוס ET-B2 המקושר לסיכון לסרקופניה, מאופיין בכמה מאפיינים שמשקפים דיסביוזה ובריאות מעי לקויה: הוא מציג את הגיוון המיקרוביאלי הנמוך ביותר מבין כל הדפוסים, ובעל שכיחות נמוכה של חיידקים מועילים המייצרים חומצות שומן קצרות שרשרת (SCFA's) – כמו בוטיראט, שיודעים nמחקרים קודמים שחיוני למסת שריר. דפוס זה נמצא גם קשור לדלקת מערכתית כרונית במחקרים קודמים, והחוקרים משערים כי דלקת זו, יחד עם מחסור ב-SCFA's, היא המנגנון העיקרי שמוביל לדעיכת השריר.
המסקנה הקלינית של החוקרים היא שדפוס ה-ET-B2 הוא ביומרקר בעל פוטנציאל לזהות אנשים בסיכון מוגבר לאובדן שריר עקב גיל. המחקר קורא למחקרי התערבות עתידיים שיבדקו האם שינוי מכוון של המיקרוביום יכול למנוע או לטפל בסרקופניה.
מחקר זה מספק את האישור הקליני האולטימטיבי לכל הראיות שהצטברו מהמחקרים הניסויים והתצפיתיים שלעיל. הוא מחבר את הממצאים על בוטיראט, גיוון מיקרוביאלי, דלקת ותפקוד המיטוכונדריה (כפי שראינו במחקרים קודמים) לתוך דפוס אנושי קונקרטי וניתן למדידה. המסקנה המתבקשת היא ששימור וטיפוח דפוס מיקרוביום בריא ועשיר ב-SCFA's אינו רק עניין של עיכול, אלא אסטרטגיה מרכזית לשמירה על כוח, חיוניות ושריר עם העלייה בגיל, והוא חלק בלתי נפרד מבריאות מיטבית ואנטי-אייג'ינג. הדבר מחדד את הצורך להתמקד בתזונה מעודדת SCFA's ובשימוש ממוקד בתוספים התומכים בהשגת דפוס מעי בריא.
הסבר על דפוסי המיקרוביום והקשר התזונתי (בטווח הארוך)
המחקר מזהה 4 דפוסי מעי עיקריים, המייצגים אורחות חיים תזונתיים שונים:
דפוס ET-P (המגן): מקושר לתזונה מסורתית, עשירה בסיבים ובפחמימות מורכבות, ונפוץ בקרב אנשים בריאים.
דפוס ET-B2: קשור לתזונה מערבית, עשירה בשומן וחלבון.
דפוס ET-B1: גם הוא קשור לתזונה עשירה בחלבון/שומן, אך מצליח לשמור על גיוון מיקרוביאלי טוב יחסית (בניגוד ל-ET-B2).
דפוס ET-R: מקושר לדפוסי אכילה מעורבים ומהווה לעתים גשר בין תזונה מבוססת סיבים לזו המערבית.

איך שומרים על מיקרוביום מגוון ובריא?
תזונה מגוונת מבוססת צומח[1] (כל הצבעים, כל הטעמים, כל המרקמים), כל המשפחות (פירות וירקות עם קליפה, דגנים מלאים, קטניות, אגוזים, שקדים, זרעים ונבטים ומונבטים) וגם בתוך המשפחות לגוון לדוגמה: ירוקים זה לא רק חסה ופטרוזיליה. זה גם מנגולד, רוקט, רוקולה, תרד, סלרי, בזיליקום, נענע ועוד ועוד. עדשים זה גם ירוק, צהוב, כתום, חום, שחור, קטניות יש עשרות סוגים. כאשר יש סייג אחד. מה שלא עושה טוב. מורידים!
דרכים נוספות לקבל לחיזוק החיידקים הטובים: סיבים תזונתיים, עמילנים עמידים ומזון מותסס: כרוב כבוש (sauerkraut)[1], קימצ'י (קוראני), טמפה (אינדונזי), נאטו ומיסו (יפני), משקה קומבוצ'ה. וכמובן התססת פירות וירקות ביתית. והמדריך הבא לדעתי הוא השלם ביותר חלק 1, חלק 2. ישנה גם הדרכה דרך סרטונים אחרי הרשמה כאן.
במקביל להמנע ממגע וצריכה של:
תרופות המשנות לרעה את הרכב המיקרוביום במיוחד אנטיביוטיקה, אבל גם נוגדות חומציות (PPI), מטפורמין, לקסטיבים, תרופות נוגדות דיכאון (SSRI), סטרואידים ונוגדי דלקת שאינם סטרואידים.
חומרי חיטוי (אנטיבקטריאליים) המכילים למשל טריקלוזן.
תכשירים המכילים משבשי אותות אנדוקריניים כגון פתלאטים ו'חומרים אורגניים מופלרים, PFAS, BPA, מעכבי בעירה, מזונות מרוססים[2][3] ואולי במיוחד גלייפוסט. וגם פלסטיק.
מזון מעובד[2][3][4][5]/ ומזון מסוכר.
המיקרוביום הוא חלק חשוב והוא כאמור תלוי בעיקר במזונות שאנחנו אוכלים.
להלן מאמרים שמציגים תזונה רכיבי תזונה ועוד דברים שיכולים לסייע בנושא:
דברים נוספים שחשוב לוודא ונמצאו מונעים ומשפרים את המצב:
- ויטמין סי.
- ויטמין די.
- ויטמין קיי.
- מגנזיום [1].
- בי 12 [1].
- אומגה 3 [1][2][3][4].
- חומצת אמינו ציטרולין (דלועיים – קישוא, מלפפון, דלעות לסוגיהם, מלון, אבטיח) [1][2].
- חומצות אמינו, חומצות שומן רב בלתי רוויות n-3, פוליפנולים וויטמין די [1].
- ג'ינסנג קוראני [1][2][3][4][5][6].
- סקוטלריה [1].
- קמומיל [1].
- כלורלה [1].
- פשתן (תוספת דצמבר 25).
- קודזו (Puerarin) [1][2].
- רוטין
מחקר שפורסם בנובמבר 25 בכתב העת Nutrients מספק הצדקה מולקולרית לתפקיד של פלבנואידים טבעיים בהאטת הזדקנות השריר, המוכרת כסרקופניה (איבוד מסת שריר הקשור לגיל). המחקר נערך כדי לבחון כיצד רוטין – נוגד חמצון טבעי הקיים, למשל, בכוסמת ובקליפות תפוחים – מגן על שרירי השלד מפני נזק מיטוכונדריאלי, עקה חמצונית ושיבושים בשעון הביולוגי (הקצב הפנימי המווסת את תפקודי הגוף). החוקרים השתמשו במודל מעבדה (תאי שריר) ובמודל עכברים שבהם דאגו להאיץ את תהליך ההזדקנות (באמצעות סוכר D גלוקוז). במעבדה, נמצא כי טיפול ברוטין תיקן את הפגיעה ביכולת יצירת סיבי שריר שנגרמה על ידי החומר המאיץ את ההזדקנות. הרוטין הפחית את רמות החומרים המצביעים על עקה חמצונית ביותר מ-35% והגביר את הפעילות של אנזימים נוגדי חמצון פנימיים כמו סופראוקסיד דיסמוטאז (SOD) וקטלאז.
בנוסף, רוטין שיפר את תפקוד המיטוכונדריה (מפעלי האנרגיה התאיים): הוא שיקם את ייצור ה-ATP (מולקולת האנרגיה העיקרית) והפחית את הזדקנות המיטוכונדריה עצמה. הנתון המעניין ביותר הוא יכולתו של רוטין לסנכרן מחדש את השעון הביולוגי של השריר. למעשה, השעון בתאי השריר הוא שעון "היקפי" התלוי באותות עקיפים (הורמונים וטמפרטורה) מהשעון הראשי שבמוח, אשר מגיב ישירות למחזור האור והחושך. חשיפה לחומר המאיץ הזדקנות שיבשה את תזמון הביטוי של גני מפתח צירקדיים (Per2 ו-Rorc) – גנים השולטים בקצב התאי, ורוטין החזיר את הדפוס הקצבי התקין של גנים אלו, תוך שיקום הביטוי של גורם שעתוק מרכזי המעורב בבניית מיטוכונדריות חדשות (PGC-1α).
במודל החי (עכברים), טיפול ברוטין שיפר את ביצועי השריר (הארכת זמן האחיזה) ואת היכולת החמצונית של השריר, במיוחד בשעות הלילה, מה שמעיד על תיקון תפקודי של השעון הביולוגי.
החוקרים מסכמים כי רוטין פועל כמולקולה רב-מערכתית המגנה מפני הזדקנות תאית על ידי ויסות הקצב הצירקדי, הפחתת עקה חמצונית ושיפור תפקוד מיטוכונדריאלי, והוא מועמד מבטיח להתערבות טיפולית נגד סרקופניה. ממצאי המחקר הזה מעניקים אישור מולקולרי חזק לראיות המצטברות, שמעבר לחלבון ואימון, בריאות השריר תלויה בניהול מתח תאי ובקצב מטבולי תקין. תיקון השעון הביולוגי וההגנה על המיטוכונדריה באמצעות רוטין מחזקים את החשיבות הקלינית של רכיבים דומים שכבר נסקרו (כמו Urolithin A מרימונים, המעודד מיטופגיה – תהליך מיחזור המיטוכונדריות הפגומות), ויחד מאשרים ששילובם בתוכנית התזונתית אינו רק נטרול נזק, אלא אסטרטגיה ממוקדת לשיקום מנגנוני הבקרה הפנימיים של השריר. הדבר מחבר את הדגש על צריכת מזונות עשירים בפוליפנולים (כמו כוסמת, תפוחים ורימונים) כחלק בלתי נפרד מהטיפול בסרקופניה [1][2]. - הספרידין (הדרים) [1].
- סיננסטין (הדרים) [1].
- רזברטרול [1].
- טאי צ'י [1][2][3].
- פעילות גופנית [1][2][3].
- whole-body vibration [1]
*** תוספת אפריל 26 – התנגודת האנאבולית: המחסום המולקולרי בין מסה לתפקוד
סקירה נרטיבית מקיפה שפורסמה באפריל 26 בכתב העת Nutrients על ידי חוקרים מסינגפור, בוחנת מדוע אסטרטגיות טיפוליות סטנדרטיות נכשלות לעיתים קרובות בשיקום כוח השריר. המחקר נערך כניתוח אינטגרטיבי של עשרות מחקרי מפתח קליניים ומודלים מולקולריים, במטרה להגדיר את המנגנונים המונעים מהשריר להגיב לגירויים חיצוניים.
הממצא המרכזי של הסקירה מתמקד בתופעת ה"תנגודת האנאבולית" (Anabolic Resistance) – מצב שבו השריר המזדקן מפתח מעין "חירשות" לאותות של חלבון ואימון גופני. החוקרים מראים כי תהליכי דלקתיות כרונית (Inflammaging) ושיבוש בפעילות ציר ה-mTORC1 (מפעל בניית החלבון בתא) גורמים לכך שגם צריכה גבוהה של חומצות אמינו אינה מתורגמת לבניית רקמה תפקודית.
נתון קליני מטריד שעולה מהסקירה הוא הנתק המוחלט בין כמות לאיכות; החוקרים מדגישים כי עלייה במסת השריר לבדה אינה מבטיחה שיפור בכוח או במניעת נפילות, וזאת בשל התדרדרות בצומת העצבית-שרירית (NMJ – המקום בו הפקודה החשמלית מהעצב הופכת לתנועה בשריר) וירידה דרמטית ביכולת ייצור האנרגיה במיטוכונדריה.
מסקנות החוקרים מצביעות על כך שגישת ה"טיפול האחיד" (One-size-fits-all) המבוססת על תוספי חלבון בלבד אינה רלוונטית עוד, שכן היא אינה מטפלת בשורש הבעיה המולקולרי. המשמעות המעשית היא שעל מנת לנצח את הסרקופניה, יש צורך ב"פריצת המחסום" באמצעות רכיבים תזונתיים מגוונים הפועלים לשיקום הסביבה התאית, הורדת העומס הדלקתי ושיפור הולכת האות העצבי.
הערך המוסף של מחקר זה טמון באישור הקליני הסופי שהוא מעניק לראיות הקודמות שהוצגו לעיל. בעוד שהמחקרים על המיקרוביום והמיטוכונדריה זיהו את "האשמים" המרכזיים בדעיכת השריר, הסקירה הנוכחית מסבירה את המנגנון המולקולרי שקושר ביניהם. היא מבהירה כי ללא שיקום המיקרוביום ודיכוי הדלקתיות המערכתית, השריר יישאר במצב של "תנגודת" ולא יוכל לנצל את אבני הבניין שאנו מספקים לו.
הערה מתודולוגית: המאמרים באתר מבוססים על ניתוח מעמיק ומקיף של מגוון מחקרים (מעבדה/ חיות, תצפית, התערבות וניסויים מבוקרי פלסבו). לכל סוג מחקר משמעות קלינית ומגבלות מסוימות. המטרה היא להנגיש את המידע העדכני ביותר לנושא המדובר וליצור את התמונה הברורה ביותר. אין באמור עובדה מוחלטת, אלא הצגת ראיות בהקשרן, מתוך גישה אינטגרטיבית ואחראית.
לחלק של הפרקטיקה! מה עושים עכשיו ואיך מיישמים את כל הידע הזה.
🧰 ארגז הכלים המעשי, 🗓️ תוכניות פעולה הדרגתיות ליישום הרגלים קריטיים.
🛒 רשימות קניות ממוקדות וטבלאות רכיבים, 👨🍳 מתכונים קלים ומדויקים.
💡 הנחיות יישום (מה זה אומר בפועל). 🔬 הרחבות, נספחים, 🚨 תוספים ודיוקים.
🌟המודולים מסודרים בטבלה לפי נושאים נחקרים 🌟
👈 מוזמנים לפנות אלי באופן פרטי לווטסאפ (0544-606696).👉
🤝 ולהכיר את הקבוצה: "לצאת מעדר הרגיל – הפרקטיקה"
היי לך.. אני משקיע שעות רבות כל יום באיתור ותרגום מאמרים כדי לספק לכולם את המידע העדכני ביותר, לבריאות טובה בדרך הטבע. וכדי שאוכל להמשיך לספק את המידע ולתחזק את האתר. כל תרומה, גדולה או קטנה תהיה לעזר רב. לתרומה נוחה ופשוטה דרך Pay Pal.
מוזמנים להזין דוא"ל למטה כדי להתעדכן ראשונים
כתיבת תגובה